null
US
Sign In
Sign Up for Free
Sign Up
We have detected that Javascript is not enabled in your browser. The dynamic nature of our site means that Javascript must be enabled to function properly. Please read our
terms and conditions
for more information.
Next up
Copy and Edit
You need to log in to complete this action!
Register for Free
6416378
Funciones Cuadráticas
Description
2 Matemáticas Mind Map on Funciones Cuadráticas, created by Camila Soto Sepúlveda on 21/09/2016.
No tags specified
funcion cuadratica
graficar
partes
matemáticas
2
Mind Map by
Camila Soto Sepúlveda
, updated more than 1 year ago
More
Less
Created by
Camila Soto Sepúlveda
about 9 years ago
15
0
0
Resource summary
Funciones Cuadráticas
ORIENTACIÓN
A > 0
A < 0
PARTES
A, B & C N°s Reales
A distinto de Cero
Graficar sin programas
1-. Intersección eje Y
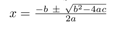
2-. Intersección eje X
Se iguala a cero la función y se resuelve
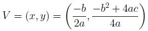
3-. Vértice
4-. Eje de Simetría
Media attachments
d36afe5a-80aa-4305-9372-421c93523810 (image/jpg)
b9d0e214-0056-49dd-949c-10254ddd1e95 (image/jpg)
4d3da462-c97b-45f7-80a3-3cb00b0ceca4 (image/jpg)
d130a933-5a60-4adb-a577-73651168921b (image/png)
12f08a1f-b638-4725-8151-ed31f8a83f68 (image/png)
f21d1057-afca-4ced-821e-8ec1bc3eae88.JPG (image/JPG)
d2521b75-ea90-4442-a4db-3e9c6f048e0d (image/png)
0ce94960-1bef-4378-9d3d-fcf116b6efab (image/png)
be2f079f-d240-42d1-8f0a-f6dea3ab451b (image/jpg)
02c68f71-0d90-4865-8c2b-2e3e45347751 (image/png)
Show full summary
Hide full summary
Want to create your own
Mind Maps
for
free
with GoConqr?
Learn more
.
Similar
Ecuaciones (Primer Grado)
Diego Santos
Fórmulas Geométricas (Perímetros)
Diego Santos
7 Técnicas para Aprender Matemáticas
maya velasquez
Matemáticasen la VidaCotidiana
Diego Santos
FRACCIONES...
JL Cadenas
FRACCIONES...
Ulises Yo
Factorización de expresiones algebraicas_1
Juan Beltran
CÁLCULOS con [ 3 · 5 · 7 ]
JL Cadenas
Preguntas del Pensamiento Matemático
Diego Santos
Factorización de Expresiones Algebráicas
maya velasquez
Matrices y Determinantes
Diego Santos
Browse Library