null
US
Sign In
Sign Up for Free
Sign Up
We have detected that Javascript is not enabled in your browser. The dynamic nature of our site means that Javascript must be enabled to function properly. Please read our
terms and conditions
for more information.
Next up
Copy and Edit
You need to log in to complete this action!
Register for Free
6501890
Inserción de un nodo
Description
Mapa mental de la insercion de un nodo
No tags specified
mapa
insercion
nodos
computación
Mind Map by
MIRIAM SANTOS ESPINOSA
, updated more than 1 year ago
More
Less
Created by
MIRIAM SANTOS ESPINOSA
about 9 years ago
51
1
0
Resource summary
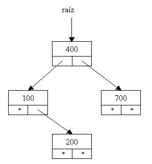
Inserción de un nodo
Se toma como referencia
Se da un valor para buscarlo dentro de la lista
Su obetivo
Devolver la direccion de memoria del nodo y poder realizar la insercion del nodo nuevo
La operacion
Solo se complica ligeramente en el caso de insertar un nuevo nodo
Pasos para la insercion
Operaciones de un arbol
Insercion
Arboles
Media attachments
c7ce11eb-2b05-447b-abe0-9442b5a59fcc (image/jpg)
74bc5a2b-d07a-472e-b94d-2e74bb89487b (image/jpg)
f3cb1050-b092-4aec-90dc-ef16395afb71 (image/jpg)
dbb6a1bd-52d4-4686-a8e3-fac0d56e7756 (image/jpg)
Show full summary
Hide full summary
Want to create your own
Mind Maps
for
free
with GoConqr?
Learn more
.
Similar
Examen "Teclado y Atajos"
love_peace2
Linux Essentials Tema 6
James Dj
HERRAMIENTAS PARA DAR MANTENIMIENTO AL DISCO
Andres Islas Peña
ELEMENTOS INTANGIBLES DE LA COMPUTADORA (SOFTWARE)
Abraham Ruiz Che
TEST GRADO 5° EL COMPUTADOR Y SUS PARTES
azael ayus
las generaciones de las computadoras.
betania araiz rodriguez
Ficha Insertar de Word
Patricia González
actividad #1 mapa conceptual Teoria de sistemas
Luis Garcia Lopez
Figuras Literarias
Arriaga Ayala Lalo
Correo Electrónico
Jazahi De Auditore
Mapa - Computación Física
Francisco García
Browse Library