TIPOS DE ANUALIDADES

Description

MATEMÁTICAS FINANCIERAS Mind Map on TIPOS DE ANUALIDADES, created by Luis Muñoz on 03/10/2016.
Luis Muñoz
Mind Map by Luis Muñoz, updated more than 1 year ago
Luis Muñoz
Created by Luis Muñoz about 9 years ago
481
1

Resource summary

TIPOS DE ANUALIDADES
  1. SIMPLES. Aquellas en el que el periodo de pago coincide con el periodo de capitalización
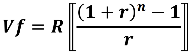
    1. VENCIDA U ORDINARIA. Se trata de casos en los que los pagos se efectúan al vencimiento o final del periodo
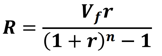
      1. MONTO. El monto de una anualidad, es la suma de los montos compuestos de los distintos pagos, cada uno acumulado hasta el término del plazo.
        1. RENTA. Es el valor de cada pago periódico que se realiza a intervalos iguales de tiempo.
          1. PLAZO. Es el total de periodos que abarca la operación.
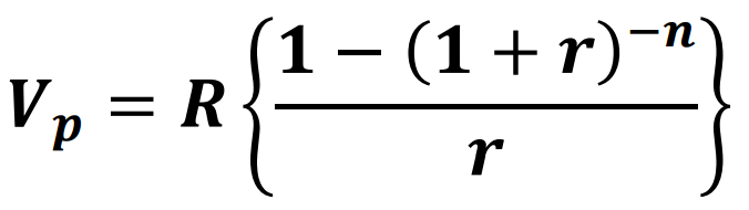
            1. VALOR ACTUAL. Es la suma de los valores actuales de las rentas.
              1. RENTA. El valor de cada pago periódico
                1. TIEMPO O PLAZO A VALOR PRESENTE. Plazo de la anualidad, total de periodos que abarca la operación
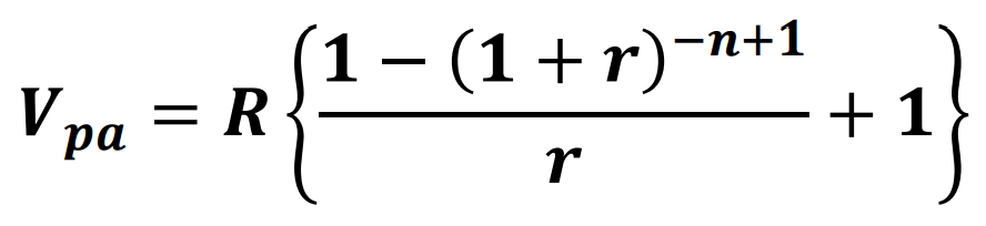
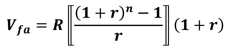
                2. ANTICIPADA. Es aquella en la que los pagos se realizan al principio de cada periodo
                  1. MONTO.
                    1. VALOR PRESENTE.
                  2. GENERALES. El periodo de pago no coincide con el periodo de capitalización.
                    1. INMEDIATA. La realización de los cobros o pagos, tiene lugar en el periodo que sigue inmediatamente a la formalización del trato
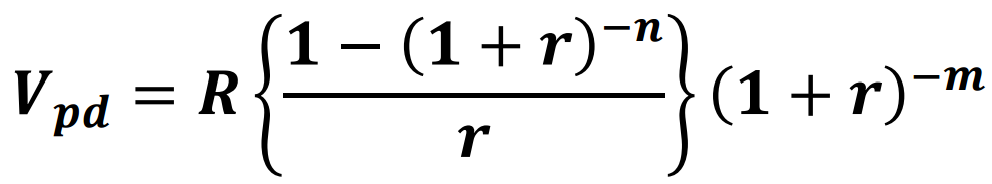
                      1. DIFERIDA. Es aquella cuyo plazo comienza a correr después de transcurrido un intervalo de tiempo, es decir, no coincide la fecha inicial de la anualidad con la fecha del primer pago
                        1. DURACIÓN. Es el tiempo que transcurre entre el comienzo del intervalo de aplazamiento y el final del plazo de la anualidad.
                          1. NOTA: por lo general las anualidades diferidas se analizan como anualidades ordinarias o vencidas, por ello en los planteamientos, al hablar de una anualidad diferida, será tratada como vencida.
                          2. INTERVALO DE APLAZAMIENTO. Número de periodos que transcurren entre la fecha inicial a fecha de valoración de la anualidad y la fecha del primer pago menos uno y es denotado por m.
                            1. VALOR ACTUAL.
                              1. MONTO. El monto se puede calcular como el de una anualidad vencida, y en este caso el posponerla ya no tiene efecto sobre el comportamiento de la anualidad
                            Show full summary Hide full summary

                            Similar

                            Anualidades
                            ariadna d.a.
                            MATEMÁTICAS FINANCIERAS
                            UNIA CETYS Universidad
                            Valor del dinero en el tiempo
                            Alejandra Ruiz8337
                            ANUALIDADES
                            Milena Liberato
                            MERCADOS FINANCIEROS
                            Vianney Arroyo
                            Tipos de anualidades....
                            Miriam Romo
                            OPERACIONES CON FRACCIONES
                            GENRY TOVES
                            SERIES UNIFORMES
                            OLGA RODRIGUEZ
                            Conceptos de Matemáticas Financieras
                            Dannyux GTM
                            MAT-250 INGENIERIA ECONOMICA I
                            Angel Vaca
                            Dime cuánto ahorro
                            Pedro Peinado Rocamora