Aldehídos y Cetonas

Description

Mind Map on Aldehídos y Cetonas, created by IsaSterzewski on 25/03/2014.
IsaSterzewski
Mind Map by IsaSterzewski, updated more than 1 year ago
IsaSterzewski
Created by IsaSterzewski over 11 years ago
241
0

Resource summary

Aldehídos y Cetonas
  1. Los aldehídos son compuestos orgánicos caracterizados por poseer el grupo funcional -CHO. Se denominan como los alcoholes correspondientes, cambiando la terminación -ol por -al. Etimológicamente, la palabra aldehído proviene del latín científico alcohol dehydrogenatum (alcohol deshidrogenado)Los aldehídos son compuestos orgánicos caracterizados por poseer el grupo funcional -CHO. Se denominan como los alcoholes correspondientes, cambiando la terminación -ol por -al. Etimológicamente, la palabra aldehído proviene del latín científico alcohol dehydrogenatum (alcohol deshidrogenado)
    1. Propiedades Físicas de los Aldehídos
      1. - La doble unión del grupo carbonilo son en parte covalentes y en parte iónicas dado que el grupo carbonilo está polarizado debido al fenómeno de resonancia. - Los aldehídos con hidrógeno sobre un carbono sp³ en posición alfa al grupo carbonilo presentan isomería tautomérica.Los aldehídos se obtienen de la deshidratación de un alcohol primario, se deshidratan con permanganato de potasio, la reacción tiene que ser débil , las cetonas también se obtienen de la deshidratación de un alcohol , pero estas se obtienen de un alcohol secundario e igualmente son deshidratados con permanganato de potasio y se obtienen con una reacción débil , si la reacción del alcohol es fuerte el resultado será un ácido carboxílico.
      2. Nomenclatura de los Aldehídos
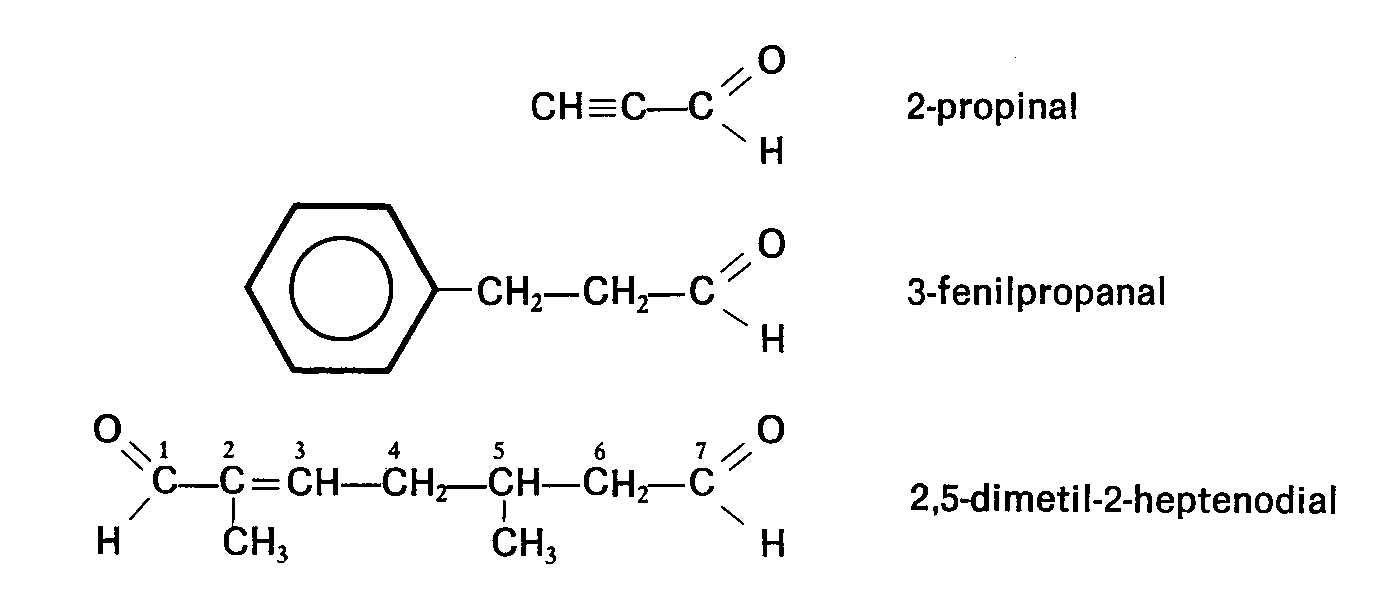
        1. El sistema de nomenclatura corriente consiste en emplear el nombre del alcano correspondiente terminado en -al. Los aldehídos más simples (metanal y etanal) tienen otros nombres que no siguen el estándar de la IUPAC pero son más utilizados (formaldehído y acetaldehído, respectivamente) estos últimos dos son nombrados en nomenclatura trivial. También se utiliza el prefijo formil- cuando hay tres o más funciones aldehídos sobre el mismo compuesto. En esos casos se puede utilizar otro sistema de nomenclatura que consiste en dar el nombre de carbaldehído a los grupos CHO (los carbonos de esos CHO no se numeran, se considera que no forman parte de la cadena). Este último sistema es el idóneo para compuestos con grupos CHO unidos directamente a ciclos.
        2. Propiedades Químicas de los Aldehídos
          1. -Se comportan como reductor, por oxidación el aldehído de ácidos con igual número de átomos de carbono. - La reacción típica de los aldehídos y las cetonas es la adición nucleofílica.
          2. Aldehídos
            1. Reacciones de los Aldehídos
              1. Los aldehídos aromáticos como el benzaldehído se dismutan en presencia de una base dando el alcohol y el ácido carboxílico correspondiente: 2 C6H5C(=O)H → C6H5C(=O)OH + C6H5CH2OH Con aminas primarias dan las iminas correspondiente en una reacción exotérmica que a menudo es espontánea: R-CH=O + H2N-R' → R-CH=N-R' En presencia de sustancias reductoras como algunos hidruros o incluso otros aldehídos pueden ser reducidos al alcohol correspondiente mientras que oxidantes fuertes los transforman en el correspondiente ácido carboxílico. Con cetonas que portan un hidrógeno sobre un carbono sp³ en presencia de catalizadores ácidos o básicos se producen condensaciones tipo aldol. Con alcoholes o tioles en presencia de sustancias higroscópicas se pueden obtener acetales por condensación. Como la reacción es reversible y los aldehídos se recuperan en medio ácido y presencia de agua esta reacción se utiliza para la protección del grupo funcional.
            2. Cetonas
              1. Una cetona es un compuesto orgánico caracterizado por poseer un grupo funcional carbonilo unido a dos átomos de carbono. Las cetonas suelen ser menos reactivas que los aldehídos dado que los grupos alquílicos actúan como dadores de electrones por efecto inductivo. Las cetonas se forman cuando dos enlaces libres que le quedan al carbono del grupo carbonilo se unen a cadenas hidrocarbonadas. El mas sencillo es la propanona, de nombre común acetona.
                1. Propiedades Físicas de las Cetonas
                  1. - Estado físico: son líquidas las que tienen hasta 10 carbonos, las más grandes son sólidas. - Olor: Las pequeñas tienen un olor agradable, las medianas un olor fuerte y desagradable, y las más grandes son inodoras. - Solubilidad: son insolubles en agua (a excepción de la propanona) y solubles en éter, cloroformo, y alcohol. Las cetonas de hasta cuatro carbonos pueden formar puentes de hidrógeno, haciéndose polares. - Punto de ebullición: es mayor que el de los alcanos de igual peso molecular, pero menor que el de los alcoholes y ácidos carboxílicos en iguales condiciones.
                  2. Propiedades Químicas de las Cetonas
                    1. Al hallarse el grupo carbonilo en un carbono secundario son menos reactivas que los aldehídos. Sólo pueden ser oxidadas por oxidantes fuertes como el permanganato de potasio, dando como productos dos ácidos con menor número de átomos de carbono. Por reducción dan alcoholes secundarios. No reaccionan con el reactivo de Tollens para dar el espejo de plata como los aldehídos, lo que se utiliza para diferenciarlos. Tampoco reaccionan con los reactivos de Fehling y Schiff.
                    2. Pruebas de Reconocimiento para Cetonas
                      1. Test con 2,4-DNFH
                        1. Se utiliza la 2,4-dinitrofenilhidrazina (reactivo de Brady), ésta reacciona con el grupo carbonilo de los aldehídos y cetonas formando 2,4-dinitrofenilhidrazonas, las cuales son sólidas, observando un precipitado de color amarillo en las dinitrofenilhidrazonas de aldehídos y cetonas saturadas, y de color anaranjado en las dinitrofenilhidrazonas de anillos aromáticos y sistemas conjugados.
                        2. Test con Clorhidrato de Hidroxilamina
                          1. En este ensayo el clorhidrato de hidroxilamina o cloruro de hidroxilamonio reacciona con el grupo carbonilo dando origen al compuesto denominado oxima, liberándose cloruro de hidrógeno (HCl) de esta reacción puesto que la oxima formada carece de carácter básico y se produce una marcada disminución del pH del medio. Esta disminución de pH es evidenciada por el viraje del indicador ácido-base dando una respuesta positiva al reconocimiento, idealmente usar anaranjado de metilo, el cual en pH ácido vira a Rojo en el rango de 3.1 a 4.4 (si se pone de amarillo o se queda naranja es porque no está en pH de su rango de viraje).
                        3. Obtención de Cetonas
                          1. las cetonas se pueden obtener a partir de reacciones químicas y las que se encuentran en la naturaleza. Respecto a las reacciones, los métodos más importantes son mediante la oxidación de alcoholes secundarios, ozonólisis de alquenos, hidratación de alquinos, y a partir de reactivos de Grignard.
                            1. Oxidación de alcoholes secundarios
                              1. Siendo el método más utilizado, los oxidantes que se usan son dicromato de potasio K2Cr2O7, trióxido de cromo CrO3, y permanganato de potasio KMnO4 diluidos en piridina o acetona. Las cetonas, al ser obtenidas mediante esta oxidación, son resistentes a una posterior, por lo que se pueden aislar del oxidante con facilidad.
                              2. Ozonólisis de alquenos
                                1. Se forman las cetonas mediante la ruptura de alquenos con ozono, seguida de una reducción suave. La ozonólisis se puede usar como método de síntesis o como técnica analítica gracias a que los rendimientos son buenos.
                            2. Aplicación de Cetonas
                          Show full summary Hide full summary

                          Similar

                          Grupos funcionales
                          Alejandra Hernandez