6 Manutenção de Diversidade em AE

Description

Conceitos sobre a manutenção de diversidade em Algoritmos Evolutivos.
Diego Garrido
Mind Map by Diego Garrido, updated more than 1 year ago
Diego Garrido
Created by Diego Garrido almost 9 years ago
10
0

Resource summary

6 Manutenção de Diversidade em AE
  1. Métodos de Niching
    1. Visão Geral
      1. Múltiplas soluções
        1. Manutenção de diversidade
          1. Identificação de múltiplos ótimos
          2. Nicho
            1. Porção limitada de recursos
              1. Qto maior a população, menor a fração disponível
            2. Abordagem Michigan
            3. Fitness Compartilhado (Fitness Sharing)
              1. Indivíduos "similares" compartilham o mesmo fitness
                1. fitness puro do indivíduo {f(xi)} dividido por um contador de nichos {ci}
                2. Contador de nichos
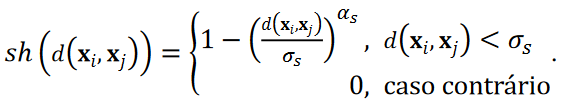
                      1. sigma_s - limiar de similaridade
                        1. É o mesmo para todos os indivíduos
                          1. Afeta a probabilidade de seleção do indivíduo
                          2. alfa_s - regula a forma de função de sharing, usualmente 1
                            1. Medidas de distância
                              1. Genotípica ou fenotípica
                        2. Distribui indivíduos em regiões promissoras
                          1. Método de seleção de baixa pressão
                            1. Fitness compartilhado
                          2. Aglomeração (Crowding)
                            1. Determinar similaridade
                              1. Espalhamento não é proporcional ao fitness
                                1. Procedimento
                                2. Clearing
                                  1. Nicho
                                    1. Fitness dos melhores indivíduos
                                      1. Mantido
                                      2. Fitness dos outros indivíduos
                                        1. Zerado
                                        2. Capacidade - quantidade
                                          1. Parâmetro {k} do algoritmo
                                    2. Métodos de Especiação
                                      1. Indivíduos com grau mínimo de similaridade e capazes de se reproduzir
                                        1. Restrição do cruzamento entre indivíduos similares
                                          1. reduz criação de indivíduos letais
                                          2. Busca paralela dos ótimos
                                            1. Parâmetro sigma_mate
                                              1. Determina a distância desejada para o cruzamento
                                            Show full summary Hide full summary

                                            Similar

                                            Mapa mental de Alfabetização e Letramento
                                            carolinedelima12
                                            5 Algoritmos Genéticos
                                            Diego Garrido
                                            Tecnologias emissoras de Radiação e o profissional de Enfermagem
                                            Juliana Silveira
                                            Análise da Composição Química dos Alimentos
                                            marlos rodrigo Ferreira
                                            Questões - Métodos de Investigação Cientifica: Quantitativa, Qualitativa, Misto
                                            sandra ferreira
                                            Métodos
                                            Neice Minati
                                            Métodos de Codificação Digital-Digital
                                            leo.g.miranda
                                            4.8 Mecanismos de Seleção
                                            Diego Garrido
                                            TIPOS DE PESQUISAS - Segundo o método empregado
                                            vapoteriko
                                            Teorias do Conhecimento e Pesquisa Científica
                                            Bruno Silva
                                            Engenharia de Software - Mãe
                                            Wellington Feitoza