null
US
Sign In
Sign Up for Free
Sign Up
We have detected that Javascript is not enabled in your browser. The dynamic nature of our site means that Javascript must be enabled to function properly. Please read our
terms and conditions
for more information.
Next up
Copy and Edit
You need to log in to complete this action!
Register for Free
6785251
Antenas
Description
Descripcion breve sobre algunos aspectos de las Antenas
No tags specified
antenas
telecomunicaciones
potencia
ingeniería
Mind Map by
Macaribel De Paz
, updated more than 1 year ago
More
Less
Created by
Macaribel De Paz
almost 9 years ago
19
0
0
Resource summary
Antenas
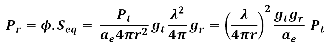
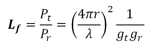
Perdidas
Es el cociente entre la potencia transmitida y la potencia recibida
Isotropica
Radia por igual en todas las direcciones
Es ideal
Se usa como referencia
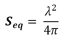
Superficie equivalente
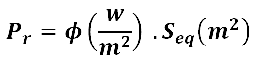
Densidad de Potencia
Emitida
Captada
Atenuacion
Si hay obstaculos se puede producir reflexion, refraccion y/o difraccion
Media attachments
03aa575c-4379-468e-9ffc-e7bcbf2f1889.gif (image/gif)
6125feb9-b53b-42a1-bbd1-c0f10b25e436 (image/png)
087aa6fe-4444-4895-8e02-5f2e5303556d (image/png)
8858324c-7a36-45e7-b5ee-4e1eef86f40b (image/png)
a21995a4-4d50-428a-99dd-825dcce086cc (image/png)
39e73e29-e487-40bb-8d84-085fc1c8137a (image/png)
Show full summary
Hide full summary
Want to create your own
Mind Maps
for
free
with GoConqr?
Learn more
.
Similar
INGENIERIA DE MATERIALES
Ricardo Álvarez
Elementos Básicos de Ingeniería Ambiental
Evilus Rada
Historia de la Ingeniería
Camila González
Introducción a la Ingeniería de Software
David Pacheco Ji
UNIDAD II DIBUJO PROYECTIVO
anyimartinezrued
GENERALIDADES DE LAS EDIFICACIONES
yessi.marenco17
MAPA MENTAL SOFTWARE APLICADOS EN INGENIERÍA CIVIL
Ruben Dario Acosta P
Examen Ingeniería Electromecánica II
Jorge Cabrera7516
Normas que Rigen la Ingenieria Mecanica
Francisco Balderas Garcia
Estado de la ingenería mecánica y su perspectiva a futuro
Roberto Martinez
MAPA CONCEPTUAL SOBRE LA INICIATIVA CDIO
Victor Antonio Rodriguez Castañeda
Browse Library