Esfuerzos cortantes en vigas y elementos de pared delgada

Description

Mecánica de Materiales Mind Map on Esfuerzos cortantes en vigas y elementos de pared delgada, created by Gonzalo Mata on 31/10/2016.
Gonzalo Mata
Mind Map by Gonzalo Mata, updated more than 1 year ago
Gonzalo Mata
Created by Gonzalo Mata about 9 years ago
1300
0

Resource summary

Esfuerzos cortantes en vigas y elementos de pared delgada
  1. Introducción
    1. Los esfuerzos cortantes
      1. Componentes y
          1. Los esfuerzos cortantes deben existir en cualquier sección de la viga sometida a carga transversal
          2. Componentes z:
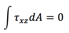
            1. Indica que el esfuerzo cortante medio horizontal es cero en cualquier sección. Pero no significa que será cero en todas partes
              1. Se concluye que deben existir esfuerzos cortantes logitudinales en todo elemento sometido a carga transversal
              2. No ocurre esfuerzo cortante en una viga en flexión pura
              3. Cortante en la cara horizontal de un elemento de una viga
                1. Teniendo en cuenta una viga prismática:
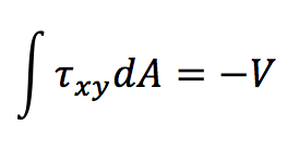
                  1. Las fuerzas ejercidas sobre un elemento consisten de las fuerzas cortantes verticales: V'c y V'd; una fuerza cortante horizontal ejercida sobre la cara inferior del elemento, las fuerzas normales elementales horizontales y una carga w
                    1. Cortante horizontal ejercido sobre el elemento de viga:
                    2. El cortante horizontal por unidad de longitud se denota con la letra q:
                        1. Q es el primer momento respecto al eje neutro de la porción de la sección transversal localizada por encima o debajo del punto en el que q se calcula
                          1. q = Flujo de cortante
                      1. Determinación de los esfuerzos cortantes en una viga.
                        1. Esfuerzo cortante promedio
                            1. Tyx = 0 en las caras superior e inferior de la viga, puesto que no se ejercen fuerzas sobre estas caras
                              1. Aunque Q es máximo para y=0, no puede concluirse que Tprom será máximo a lo largo del eje neutro, ya que depende del ancho t y la sección Q
                            2. Esfuerzos cortantes Txy en tipos comunes de vigas
                              1. Puede usarse la ecuacion Tprom para determinar el esfuerzo cortante en cualquier punto de la sección transversal de una viga rectngular delgada
                                1. Donde t es igual al ancho b de la viga y Q el primer momento del área A respecto al eje neutro
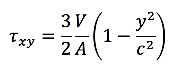
                                  1. La distribución de esfuerzos cortantes en una sección rectangular es parabólica
                                    1. Haciendo y=0 en la ecuación
                                        1. se obtiene el valor del esfuerzo cortante máximo en una sección dada de una viga rectangular delgada
                                    2. Análisis adicional sobre la distribución de esfuerzos en una viga rectangular delgada
                                      1. Los esfuerzos cortantes dependen solo de la distancia y desde el eje neutro.
                                        1. Los valores correctos del esfuerzo cortante en la viga están dados por la ecuación...
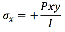
                                            1. y los esfuerzos normales a una distancia x del extremo libre se obtienen haciendo:
                                            2. Cuando una viga se somete a varias fuerzas concenradas...
                                              1. Se hace superposición para determinar esfuerzos normales y cortantes
                                            Show full summary Hide full summary

                                            Similar

                                            LAS FÓRMULAS DE LA TORSIÓN. DEDUCCIÓN
                                            José Grimán
                                            Transformaciones de esfuerzos y deformaciones
                                            Gonzalo Mata
                                            UNIDAD 2 - ESFUERZO Y DEFORMACIÓN AXIAL
                                            JEIMY MORALES
                                            TORSIÓN EN EJES DE SECCIÓN CIRCULAR
                                            José Grimán
                                            Factor o coeficiente de Seguridad
                                            Mercy Cruz
                                            Mécanica de Materiales
                                            Hugo Alexander Orozco Correa
                                            El Proceso del Diseño Estructural
                                            ingemak
                                            Mecánica de materiales
                                            Karen Andrea Argoti Fierro
                                            Torsión
                                            Gonzalo Mata
                                            Contenido libro Mecánica de materiales
                                            Yvonne Amaya
                                            UNIDAD 2 - ESFUERZO Y DEFORMACIÓN AXIAL
                                            username Username