Diodos de potencia

Description

Electronica de potencia
Ronald Morejon
Mind Map by Ronald Morejon, updated more than 1 year ago
Ronald Morejon
Created by Ronald Morejon over 9 years ago
132
0

Resource summary

Diodos de potencia
  1. Estructura
    1. Constituido por una estructura de tipo P-N que dentro de sus limites de tensión y corriente, permite la circulación de corriente en un solo sentido.
    2. Característica I-V

      Annotations:

      • asnsnannsan
      1. Disponen de un área mayor para permitir mayores corrientes y mayor longitud para soportar ténciones inversas mas elevadas.
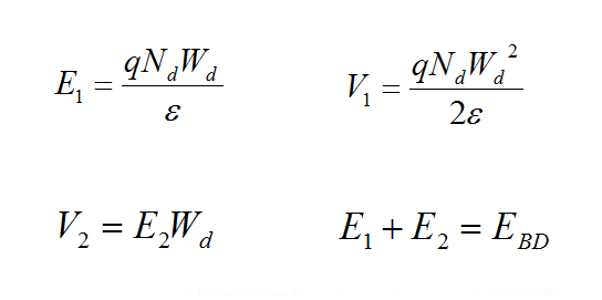
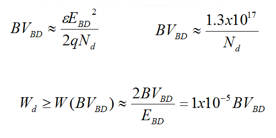
      2. Consideración sobre la tensión de ruptura
        1. Tensión de ruptura máxima antes de la perforación de los diodos de potencia
          1. Se denomina diodo non-punch-through
          2. Tensión de ruptura del diodo de perforacion
            1. Punch-through
              1. a)diodo de polarización inversa donde la zona de degradación se extiende por completo a través de la región de deriva. b)perfil del campo eléctrico de la condición de perforación en un diodo de polarización inversa
            2. control del límite de la zona de degradación
              1. La difusión lateral de impurezas da pie a una curvatura del limite de la unión pn y por tanto a la zona de degradación.
                1. uso de placas de campo en un diodo de unión pn para controlar la curvatura del límite de la zona de degradación a fin de evitar que se reduzcan las tensiones de ruptura.
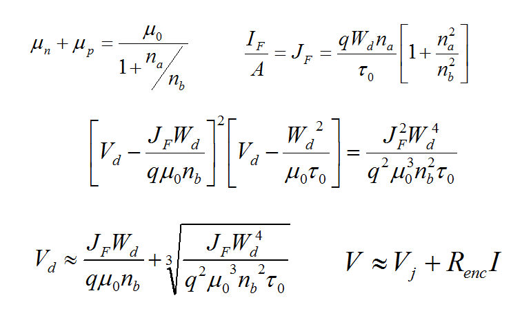
                2. Perdidas en estado activo
                  1. Modulación de conductividad
                    1. casi toda la potencia disipada de un diodo ocurre cuando esta en estado activo.
                      1. Intersección de la zona de degradación con una superficie de semiconductor
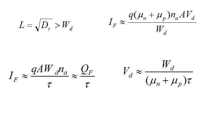
                        1. Distribuciones de portadores en una estructura de un diodo de potencia de polarización directa con una región de arrastre un poco dopada.
                        2. si la longitud de difusión L
                          1. impacto sobre pérdidas de estado activo
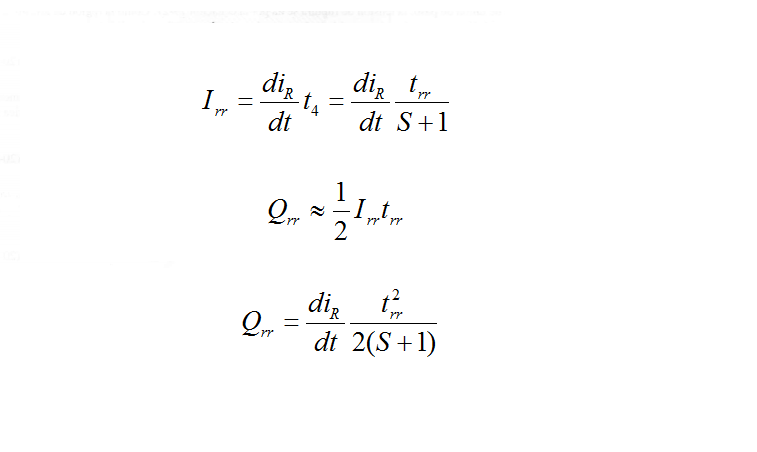
                          2. Características de commutacíon
                            1. Formas de onda de commutacion
                              1. Transitorio de encendido
                                1. Transitorio de apagado
                                  1. Recuperación inversa
                                  2. Diodos de Schottky
                                    1. tiene menores perdidas en estado activo que los diodos de union pn, pero tambien tienen bajas tenciones especificadas de ruptura,que casi nunca pasan de 100V.
                                    Show full summary Hide full summary

                                    Similar

                                    INGENIERIA DE MATERIALES
                                    Ricardo Álvarez
                                    Elementos Básicos de Ingeniería Ambiental
                                    Evilus Rada
                                    Historia de la Ingeniería
                                    Camila González
                                    Introducción a la Ingeniería de Software
                                    David Pacheco Ji
                                    UNIDAD II DIBUJO PROYECTIVO
                                    anyimartinezrued
                                    GENERALIDADES DE LAS EDIFICACIONES
                                    yessi.marenco17
                                    MAPA MENTAL SOFTWARE APLICADOS EN INGENIERÍA CIVIL
                                    Ruben Dario Acosta P
                                    Examen Ingeniería Electromecánica II
                                    Jorge Cabrera7516
                                    Normas que Rigen la Ingenieria Mecanica
                                    Francisco Balderas Garcia
                                    Estado de la ingenería mecánica y su perspectiva a futuro
                                    Roberto Martinez
                                    MAPA CONCEPTUAL SOBRE LA INICIATIVA CDIO
                                    Victor Antonio Rodriguez Castañeda