TECNOLOGÍA DE ALMACENAMIENTO

Description

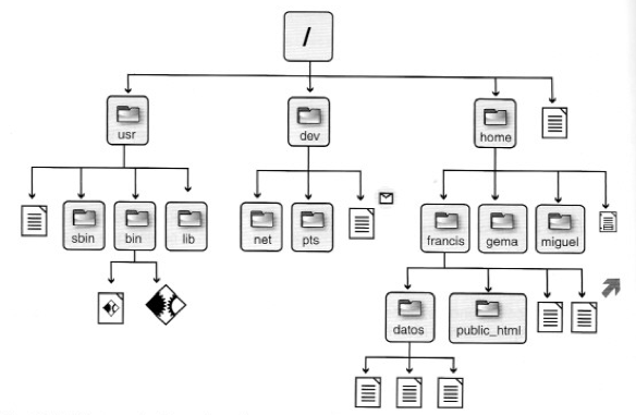
mapa que representa a grandes rasgos que es la tecnología de almacenamiento
Laura  Pacheco
Mind Map by Laura Pacheco, updated more than 1 year ago
Laura  Pacheco
Created by Laura Pacheco almost 9 years ago
26
0

Resource summary

TECNOLOGÍA DE ALMACENAMIENTO
  1. tipos de almacenamiento
    1. físico.
      1. Indica como es el almacenamiento en el disco fisicamente. Los archivos se almacenan en cluster
      2. Logico
        1. es un modo conceptual de como se almacenan los datos en el disco. Ayuda a comprender el sistema de almacenamiento, pero no es la forma real, en el cual esta el nombre del archivo y su extension
      3. son los dispoditivos de almacenamiento y los mediaos que usa
        1. medios de almacenamiento
          1. objetos que contienen datos
          2. dispositivos de almacenamiento
            1. aparatos mecanicos que registran y recuperan los datos del medio de almacenamiento
          3. medios de almacenamiento
            1. magnetico
              1. la computadora guarda los datos al magnetizar particulas sobre una superficie recubierta de óxido magnetico
                1. DISCOS DUROS: acceso aleatorio y giran continuamente
                  1. DISQUETES: discos de plastico cubiertos por una capa de óxido magnetico
                    1. CINTAS: acceso secuencial
                    2. optico
                      1. los datos se graban con rayo laser en el medio de almacenamiento y se representan pos pequeños huecos
                      2. electronico
                        1. alamacenan cargas electricas con alta velocidad de transmicion de la informacion
                      3. tipos de archivos
                        1. De datos
                          1. palabras, números y figuras para editar,, ver, grabar etc
                          2. De sistema
                            1. necesarios para el funcionamiento del sistema
                            2. ejecutables
                              1. con instrucciones para ejecutar un trabajo
                              2. fuente
                                1. instrucciones para que el usuario las traduzca para la computadora
                                2. graficos
                                  1. imagenes
                                  2. comprimidos
                                    1. que ocupe el menor espacio posible
                                    2. audio
                                      1. instrucciones de como ejecutar un trabajo
                                      2. video
                                        1. videos
                                      Show full summary Hide full summary

                                      Similar

                                      DISPOSITIVOS DE ENTRADA, SALIDA Y ALMACENAMIENTO
                                      Daniel Ochoa Hernández
                                      Tipos de Documentos Comerciales
                                      Gonzalo Ferretti
                                      Los Documentos.
                                      Alexa Yumi
                                      EL ARCHIVO
                                      monica vargas
                                      TECNOLOGÍAS DE ALMACENAMIENTO
                                      Piry Jasso
                                      Las Hipótesis
                                      NEIL BERNAL R.
                                      FORMULACIÓN DE UNA HIPÓTESIS DE INVESTIGACIÓN
                                      roberth2193
                                      Seguridad Informática
                                      M Siller
                                      Tipos de luz
                                      Gabriela Rivero