ESTADISTICA DESCRIPTIVA

Description

Clasificacion de las medidas estadisticas descrpitivas
Leticia MoralesDominguez
Mind Map by Leticia MoralesDominguez, updated more than 1 year ago
Leticia MoralesDominguez
Created by Leticia MoralesDominguez about 9 years ago
52
0

Resource summary

ESTADISTICA DESCRIPTIVA
  1. CONCEPTO
    1. Es una técnica matemática que obtiene, organiza, presenta y describe un conjunto de datos con el propósito de facilitar su uso. Utiliza tablas, medias numéricas o gráficas.
    2. TIPOS
      1. MEDIDAS DE TENDENCIA CENTRAL
        1. CONCEPTO
          1. Son valores que se encuentran en la parte central de un conjunto de datos.
          2. TIPOS
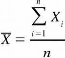
            1. MEDIA ARITMETICA O PROMEDIO
              1. Se obtiene sumando todos los datos y dividiendo el resultado entre el número de datos.
                1. Se puede considerar como el punto de equilibrio de un conjunto de datos.
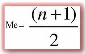
                2. MEDIANA (Me)
                  1. Es el valor central que divide en dos partes iguales a un conjunto de datos.
                    1. - Se ordenan todos los valores en orden ascendente o descendente, se identifica el valor medio. (Si existen dos valores medios, la mediana es su promedio.
                    2. MODA
                      1. Es el valor que ocurre con más frecuencia en un conjunto de datos.
                  2. MEDIDAS DE DISPERSION O VARIABILIDAD
                    1. CONCEPTO
                      1. Estas miden la concentración de los datos con respecto al punto de equilibrio, representado por la Media Aritmética.
                      2. TIPOS
                        1. AMPLITUD O RANGO
                          1. Es la diferencia entre al valor más grande y el más pequeño
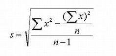
                          2. VARIANZA
                            1. Es el promedio de los cuadrados de las distancias de los datos a su media aritmética.
                              1. varianza muestral
                                1. varianza poblacional
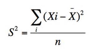
                              2. DESVIACION ESTANDAR
                                1. Es la distancia promedio de los datos a su media aritmérica
                                  1. Se calcula tomando la raíz cuadrada positiva de la varianza, por lo que es siempre positiva.
                                    1. muestral
                                      1. poblacional
                                2. MEDIDAS DE FORMA
                                  1. CONCEPTO
                                    1. Permite comprobar si una distribucion de frecuencia tiene características especiales como simetría,asimetría, nivel de concentracioón de datos y nivel de apuntamiento para ser clasificadas.
                                    2. TIPOS
                                      1. COEFICIENTE DE SESGO
                                        1. Mide el grado de asimetría (As) que tiene la distribución de los datos.
                                          1. Simétrico o insesgado As=0
                                            1. Moda = Mediana = Media
                                            2. Sesgo positivo o a la derecha As>0
                                              1. Moda <Mediana <Media
                                              2. Sesgo negativo o a la derecha As <0
                                                1. Moda > Mediana > Media
                                              3. CURTOSIS
                                                1. Evalúa el grado de apuntamiento de la distribución
                                                  1. K= 0
                                                    1. Mesocúrtica
                                                    2. K> 0
                                                      1. Leptocúrtica
                                                      2. k < 0
                                                        1. Platocúrtica
                                                  2. MEDIDAS DE POSICION
                                                    1. CONCEPTO
                                                      1. Se usan para describir la posición que tiene un dato específico en relación con el resto de los datos.
                                                      2. TIPOS
                                                        1. CUARTILES
                                                          1. Son valores de una variable que dividen en cuartiles los datos ordentados
                                                            1. Q1 Separa el 25% inferior de valores ordenados del 75% superior.
                                                              1. Q2 Es igual a la mediana o 50%.
                                                                1. Q3 Separa el 75% inferior de los valores ordenados del 25% superior.
                                                                2. PERCENTILES
                                                                  1. Son valores de una variable que dividen al conjunto de datos ordenados en 100 subconjuntos.
                                                                    1. Cada conjunto de datos tiene 99 percentiles.
                                                                    2. DECILES
                                                                      1. Son cuartiles que dividen a una distribución en 10 partes iguales, por lo que se tienen 9 puntos de división.
                                                                Show full summary Hide full summary

                                                                Similar

                                                                Medidas Estadísticas Descriptivas
                                                                Maria Guadalupe Camacho Torres
                                                                Medidas estadísticas Bivariantes de regresión y correlación
                                                                Jaquelin Castro Godoy
                                                                Estadística Descriptiva
                                                                Jesus David Gonzalez Ortega
                                                                Medidas de tendencia central
                                                                jojabravo
                                                                Medidas estadísticas univariantes
                                                                Edgar Mauricio Londoño Rodríguez
                                                                Determina si las siguientes variables son cualitativas o cuantitativas
                                                                mileon19
                                                                Estadística para Ciencias Sociales
                                                                Mariana Rosas Godínez
                                                                Variables Cuantitativas: Discretas y contínuas
                                                                mileon19
                                                                Ejercicio 3
                                                                Consultando el éxito
                                                                Ejercicio 4
                                                                Consultando el éxito
                                                                Test estadística
                                                                mperezyp