Estadística Descriptiva.

Description

os valores observados en las variables carecen de significado por sí mismos, por lo general para interpretarlos correctamente es necesario organizarlos y resumirlos, así como procesarlos para obtener información. Frecuentemente es preciso expresar a un conjunto de datos en términos de un sólo número que describa al mismo y más fácil de comprender que todos los datos originales, y así observar la forma en que se distribuyen los valores recopilados. Las propiedades principales que describen a un c
Ingrid sanchez rojas
Mind Map by Ingrid sanchez rojas, updated more than 1 year ago
Ingrid sanchez rojas
Created by Ingrid sanchez rojas almost 9 years ago
271
0

Resource summary

Estadística Descriptiva.
  1. Medidas de tendencia central
    1. Indica el valor que tiende a ser el más representativo de un conjunto de datos numéricos.
      1. Media.
        1. Puede entenderse como el promedio de los valores.
        2. Mediana (Md).
          1. Es el valor intermedio de los datos ordenados en forma ascendente, y cuando es par, es el promedio de las dos observaciones del centro.
          2. Moda. (Mo)
            1. Es el valor que ocurre con más frecuencia mayor a 1 en un conjunto de observaciones.
        3. Medidas de Dispersión
          1. Utilizan para medir el grado de variación que existe entre los datos.
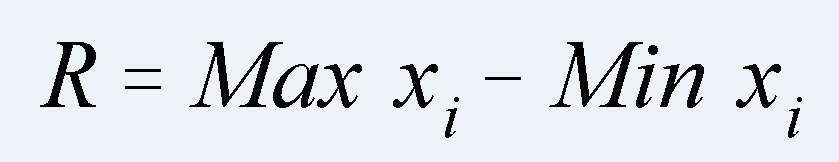
            1. Rango (R) .
              1. Tiene una utilidad limitada ya que se consideran solamente los valores extremos (Valor Mayor - Valor Menor) sin tomar en cuenta al resto de valores observados..
              2. Varianza (s2, S2)
                1. Se define como la suma de los cuadrados de las diferencias entre los valores observados respecto a su media, dividida entre el número de valores.
                2. Desviación estándar.(s , S)
                  1. A la raíz cuadrada positiva de la varianza se le denomina
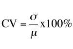
                  2. Coeficiente de variación
                    1. Es una medida relativa de la dispersión de las observaciones respecto de la media que se expresa como porcentaje y no en términos de unidades de los datos.
                3. Formas de una distribución
                  1. Representación gráfica, que ofrece la posibilidad de apreciar rápidamente las características más sobresalientes de un conjunto de observaciones
                    1. COEFICIENTE DE ASIMETRÍA DE PEARSON
                      1. Se basa en la relación que existe entre la mediana y la media
                  Show full summary Hide full summary

                  Similar

                  Geografia Turismo
                  Daniel Torres Aguilera
                  Oferta y Demanda Turística
                  Ale Almazán
                  8. Los espacios del sector primario
                  Punto Aparte
                  GESTION DE HOTELES UNA NUEVA VISION
                  papirrin7168
                  CONCEPTOS BÁSICOS DEL TURISMO
                  Adolfo Cataño
                  Sistema Turístico Nacional.
                  Ingrid sanchez rojas
                  Medidas Estadísticas Univariantes
                  kid Leal nieto
                  Estadística: medidas de dispersión (2° parcial)
                  Kayla Rebecca Aceves
                  LOS DATOS Y SU PROCESAMIENTO
                  Milagros Giorgis
                  Distribución de Frecuencia
                  Angel Estuardo Tomás Conóz Guarcas
                  ESTADÍSTICAS
                  Daimara Hdez Carrillo