Circuitos Magnéticos

Description

Mind Map on Circuitos Magnéticos, created by Gabriela De Santiago on 05/12/2016.
Gabriela De Santiago
Mind Map by Gabriela De Santiago , updated more than 1 year ago
Gabriela De Santiago
Created by Gabriela De Santiago almost 9 years ago
79
0

Resource summary

Circuitos Magnéticos
  1. ¿Qué es un Circuito Magnético ?
    1. Es un dispositivo en el cual las lineas de fuerza del campo magnético se hallan canalizadas que trazan un camino cerrado
    2. Composición
      1. Estos circuitos magnéticos tienen como característica el material del que están hechos ya que se utilizan materiales ferromagnéticos
        1. Ya que estos materiales tienen una permeabilidad magnética mucho más alta que el aire o el espacio vacío y por lo tanto el campo magnético tiene a confinarse dentro del material llamado núcleo
      2. Clases de Circuito Magnético
        1. existen dos timpos
          1. Homogéneos
            1. Una sola sustancia, sección uniforme y sometido a igual inducción en todo su recorrido
            2. Heterogéneos
              1. Varias sustancia, distintas secciones o inducciones, o coincidencia de estas secciones
          2. Flujo Magnético
            1. Es una medida de la cantidad de magnetismo y se calcula a partir del campo magnético
              1. La unidad de flujo magnético en SI es el WEBER
              2. La superficie sobre la cual actúa y el angulo de incidencia formado entre las lineas de campo magnético y los diferentes elementos de dicha superficie.
              3. Densidad de flujo
                1. Se caracteriza al vector que representa al campo magnético recibe el nombre de
                  1. VECTOR INDUCCIÓN MANGÉTICA
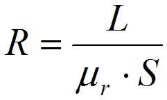
                2. Reluctancia
                  1. Es la resistencia que éste posee al paso de un flujo magnético cuando es influenciado por un cmapo magnético
                  2. Permeabilidad
                    1. Capacidad de una sustancia o medio para atraer y hacer pasar a través de ella campos magnéticos
                      1. La magnitud así definida es el grado de magnetización de un material en respuesta a un campo magnético que se denomina permeabilidad absoluta
                    2. Exitación Magnética
                      1. Es uno de los tres campos que describen el magnetismo desde el punto de vista macroscopico
                        1. Esta relacionado con movimientos de cargas libres y polos mangéticos
                          1. Se conoce como H, donde:
                        Show full summary Hide full summary

                        Similar

                        BIOELASTICIDAD
                        guzmannikte
                        FISICA CLASICA
                        jei_199
                        Resistencia y circuitos eléctricos en el hogar
                        Valentina Botero
                        termodinámica
                        espinozasalazar9
                        Anamnesis
                        jessenia Martinez
                        Resistencias y circuitos eléctricos en el hogar
                        Mafer Alarcón
                        Trabajo Y Potencia
                        Ricardo Felipe Mariño Perdomo