MODELO DE TAMAÑO DEL LOTE DE PRODUCCIÓN ECONÓMICO

GoConqr Review

Todo lo que estás buscando saber sobre modelo de tamaño del lote de producción económico, encuéntralo en este fantástico mapa mental.
Tania Toaquiza
Mind Map by Tania Toaquiza, updated more than 1 year ago
Tania Toaquiza
Created by Tania Toaquiza almost 9 years ago
3862
1

Resource summary

MODELO DE TAMAÑO DEL LOTE DE PRODUCCIÓN ECONÓMICO
  1. Supuestos
    1. Es similar al modelo EOQ en que intentamos determinar cuánto y cuándo se deberá ordenar
      1. Tasa de demanda constante
        1. Se suministran unidades al inventario a una tasa constante durante varios días o varias semanas
          1. Tasa de suministro constante
            1. Implica que el mismo número de unidades se suministra al inventario cada periodo de tiempo
          2. Este modelo está diseñado para situaciones de producción en las cuales, una vez que se hace un pedido, la producción y un número constante de unidades se agrega al inventario cada día hasta que la fase de producción se ha completado.
            1. Se diferencia del modelo EOQ en que un costo de preparación reemplaza al de ordenar y el patrón de inventario
            2. Conceptos
              1. Tamaño de lote
                1. Cantidad de pedido en el modelo de inventario de producción.
                  1. Se construye un modelo de costo de ordenar y mantener que exprese el costo total en función del tamaño del lote de producción.
                    1. Se determinar el tamaño del lote de producción que reduzca al mínimo el costo total.
                2. Costos
                  1. Los costos que ahora nos ocupan son el costo de retener y el costo de ordenar.
                    1. Costo de retención
                      1. Costo asociado con el mantenimiento de una inversión de inventario, incluidos el costo de la inversión de capital en el inventario
                        1. Costo de preparación
                          1. El costo fijo (mano de obra, materiales, producción perdida) asociado con la preparación de una nueva fase de producción.
                      2. Modelo de costo total
                        1. El modelo de tamaño del lote de producción es más fácil de seguir si se utiliza una tasa de demanda diaria d y una tasa de producción diaria p.
                          1. Se expresen en función de la tasa de demanda anual D y la tasa de producción anual P.
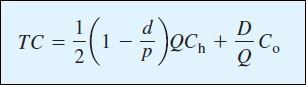
                            1. Costo anual total (TC )
                              1. Diaria
                                1. Anual
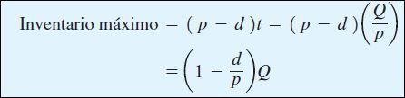
                              2. Inventario máximo
                                1. Producción t
                                  1. Inventario máximo
                                    1. Inventario promedio
                                  2. Costo anual de retención
                                    1. Costo de preparación anual
                              3. Tamaño del lote de producción económico
                                Show full summary Hide full summary

                                Similar

                                Métodos directo escalonado y reciproco para distribuir los costos en base a tasas departamentales
                                Flakis Padilla
                                SISTEMA DE COSTOS POR ORDENES DE PRODUCCIÓN
                                azua1424
                                CLASIFICACIÓN DE COSTOS
                                uniica
                                Contabilidad de Costos
                                valerie_chavez
                                Contabilidad Administrativa
                                Deyanira Adame
                                CONTABILIDAD DE COSTOS
                                Juan Jose Avila Espinoza
                                CLASIFICACIÓN DE LA CONTABILIDAD SEGÚN SU CAMPO DE ACCION
                                Angelica Bermudez
                                Examen 1 - Administración y Finanzas
                                Oscar Hernández
                                5.- Gestión de los Costos (Capítulo 7)
                                CIF Albarran
                                Presupuesto de ingresos, gastos y costos
                                yesica fontecha