Métodos Numéricos

Description

Ingeniería Mind Map on Métodos Numéricos, created by Christian Ruiz on 12/02/2017.
Christian Ruiz
Mind Map by Christian Ruiz, updated more than 1 year ago
Christian Ruiz
Created by Christian Ruiz over 8 years ago
1335
1

Resource summary

Métodos Numéricos
  1. Es:
    1. Procedimiento mediante el cual se obtiene la solución de ciertos problemas realizando cálculos puramente aritméticos y lógicos.
      1. Operaciones aritméticas elementales, cálculo de funciones, consulta de una tabla de valores, cálculo preposicional, etc.
        1. Consiste de una lista finita de instrucciones precisas que especifican una secuencia de operaciones algebraicas y lógicas (algoritmo), que producen o bien una aproximación de la solución del problema (solución numérica) o bien un mensaje.
      2. Tipos de Métodos
        1. Interpolación Lineal
          1. Encontrar un valor intermedio entre dos o mas puntos base conocidos, los cuales se pueden aproximar mediante polinomios.
            1. Interpolación con espacios equidistantes
              1. Interpolación con espacios no equidistantes
              2. Método de Newton
                1. Se basa en la obtención de un polinomio a partir de un conjunto de puntos dado, aproximándose lo mas posible a la curva buscada.
                  1. Fórmula general
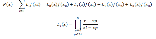
                  2. Método de Lagrange
                    1. Es una reformulacion del plonmia de Newton que evita el calculo por diferencias y nos permite determinar valores intermedios entre puntos
                      1. Aproximación Lineal
                        1. Si tenemos una nube de puntos, a los cuales queremos aproximar a una linea recta, esta se obtiene mediante formulas.
                          1. Y = B + (A*X)
                          2. Método de Bisección
                            1. El método de bisección consiste en dividir el intervalo en 2 subintervalos de igual magnitud, reteniendo el subintervalo en donde f cambia de signo, para conservar al menos una raíz o cero, y repetir el proceso varias veces.
                            2. Método del Punto Fijo
                              1. El Método de Punto Fijo (también conocido como iteración de punto fijo), es otro método para hallar los ceros de f(x). Para resolver f(x) = 0, se reordena en una forma equivalente:
                              2. Método Newton-Raphson
                                1. El método de Newton-Raphson es un método iterativo que nos permite aproximar la solución de una ecuación del tipo f(x)=0. Partimos de una estimación inicial de la solución x0 y construimos una sucesión de aproximaciones de forma recurrente mediante la fórmula
                                  1. xj+1 = xj − f(xj ) f0 (xj )
                                  2. Método de Gauss-Jordan
                                    1. El método de Gauss-Jordan utiliza operaciones con matrices para resolver sistemas de ecuaciones de n numero de variables. El objetivo de este método es tratar de convertir la parte de la matriz donde están los coeficientes de las variables en una matriz identidad.
                                    2. Método del Trapecio
                                      1. El procedimiento de cálculo consiste en hallar el area e los distinitos trapecios entre ordenadas consecutvias y sumarlos todos.
                                      2. Método de Simpson
                                        1. El Método de Simpson sustituye a la curva por una serie de arcos contiguos, cada uno de estos arcos es un arco de parábola de eje vertical. Esto nos lleva a aproximar el área bajo la curva mediante la suma de las áreas bajo cada arco de parábola.
                                          1. El número de subintervalos debe ser un número par.
                                          2. Método de Simpson 3/8
                                            1. Es una generalización de la regla de trapecio para obtener una mejor aproximación de la integral y consiste en subdividir el intervalo [a,b] en n subintervalos, todos de la misma longitud h=b−an.
                                          Show full summary Hide full summary

                                          Similar

                                          INGENIERIA DE MATERIALES
                                          Ricardo Álvarez
                                          Elementos Básicos de Ingeniería Ambiental
                                          Evilus Rada
                                          Historia de la Ingeniería
                                          Camila González
                                          Introducción a la Ingeniería de Software
                                          David Pacheco Ji
                                          UNIDAD II DIBUJO PROYECTIVO
                                          anyimartinezrued
                                          GENERALIDADES DE LAS EDIFICACIONES
                                          yessi.marenco17
                                          MAPA MENTAL SOFTWARE APLICADOS EN INGENIERÍA CIVIL
                                          Ruben Dario Acosta P
                                          Examen Ingeniería Electromecánica II
                                          Jorge Cabrera7516
                                          Normas que Rigen la Ingenieria Mecanica
                                          Francisco Balderas Garcia
                                          Estado de la ingenería mecánica y su perspectiva a futuro
                                          Roberto Martinez
                                          MAPA CONCEPTUAL SOBRE LA INICIATIVA CDIO
                                          Victor Antonio Rodriguez Castañeda