Probabilidad y estadística

Description

Mapa conceptual de probabilidad y estadística
Yuritzi Gonzalez
Mind Map by Yuritzi Gonzalez, updated more than 1 year ago
Yuritzi Gonzalez
Created by Yuritzi Gonzalez almost 9 years ago
374
3

Resource summary

Probabilidad y estadística
  1. Probabilidad
    1. La Probabilidad es la mayor o menor posibilidad de que ocurra un determinado suceso.
      1. Teoria de conjuntos
        1. Un conjunto es una colección de elementos y se representa con las letras mayúsculas del alfabeto.
          1. Forma tabular o por extensión.
            1. Se indican todos los elementos que integran el conjunto y se escriben entre llaves.
              1. Ejemplo
                1. Sea V el conjunto de las vocales: {a,e,i,o,u}
            2. Forma enunciativa o por comprensión.
              1. Se indican cuáles elementos pertenecen al conjunto por medio de una propiedad común.
                1. Ejemplo
                  1. V= {Sea x | x son las vocales}
              2. Diagramas de Venn.
                1. Los conjuntos se representan con círculos y estos se encuentran en un cuadrado llamado universo.
                  1. Ejemplo
                    1. Todos los dígitos: U= {0,1,2,3,4,5,6,7,8 y 9}. De todos los números solo nos interesan los números pares (P).
                      1. P= {2,4,6,8}
                        1. P= {Sea x | x son los dígitos pares}
                        2. U= {0,1,2,3,4,5,6,7,8,9}
                          1. U= {Sea x | x son los dígitos}
                    2. Simbología
                2. Técnicas de conteo
                  1. Diagrama de árbol
                    1. Se puede organizar y visualizar todos los posibles resultados de un evento.
                    2. Combinaciones
                      1. El orden no importa aunque se repitan las letras o números
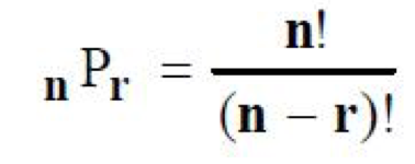
                      2. Permutaciones
                        1. Una ordenación de un conjunto con n objetos en un orden dado
                          1. Formula tomados todos a la vez
                            1. Pn= n!
                            2. Tomado r elementos de n elementos
                              1. Donde el número de elementos se repite
                                1. P= n!/(n1!) (n2!)...(nr!)
                          2. Probabilidad para eventos
                            1. Probabilidad clásica
                              1. P(A)= n/N
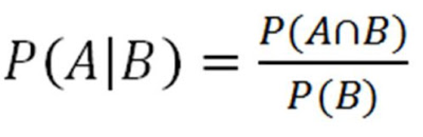
                              2. Probabilidad condicional
                                1. Teorema de valles
                            2. Estadística
                              1. Recopilación, argumentación, presentación, análisis e interpretación de datos
                                1. Medidas de forma
                                  1. Comportamiento de datos
                                    1. Coeficiente de asimetría
                                      1. Negativa
                                        1. Simétrica
                                          1. Positiva
                                          2. Curtosís
                                            1. Leptocurtica
                                              1. Mesocurtica
                                                1. Platicurtica
                                            2. Medidas de correlación
                                              1. Relación de variables
                                                1. Coeficiente de correlación
                                                  1. Fuerte
                                                    1. Moderada
                                                      1. Débil
                                                        1. Ninguna
                                                    2. Manejo de la informacion
                                                      1. recopilar, organizar, presentar analizar e interpretar información que apoye los procesos de toma de decisiones en cualquier ambito.
                                                          1. Muestreo
                                                            1. Conjunto de técnicas que se tienen para elegir los elementos que compondrán una muestra
                                                              1. Muestreo aleatorio simple
                                                                1. Muestreo Aleatorio sistemático
                                                                  1. Muestreo aleatorio Estratificado
                                                                    1. Distribucion Muestral
                                                                  2. Frecuencia
                                                                    1. frecuencia es el número de veces que el valor de una variable se repite. Se distinguen dos tipos principales de frecuencia
                                                                    2. Distribución de frecuencia
                                                                      1. ordenación en forma de tabla de los datos estadísticos, asignando a cada dato su frecuencia correspondiente
                                                                      2. Datos
                                                                        1. Variable
                                                                          1. Población
                                                                            1. muestra
                                                                              1. Experimento
                                                                                1. Parametro
                                                                                  1. Estadístico
                                                                                    1. Muestreo
                                                                                2. Medidas de tendencia central
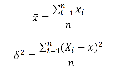
                                                                                  1. Media
                                                                                    1. Promedio de los datos, es decir, el cociente de la suma de dichos datos entre el numero de elementos.
                                                                                    2. Mediana
                                                                                      1. Valor que queda a la mitad una vez ordenados los datos
                                                                                      2. Moda
                                                                                        1. Es el dato con mayor frecuencia, si ningun dato se repite, el conjunto no tiene moda, puede haber uno o más valores que se repiten con mayor frecuencia
                                                                                        2. Medidas de dispersión
                                                                                          1. Sirve para evaluar que tan confiables son las medidas numericas, que tan cercanos estran losvalores al promedio y cual es la tendencia de dichos valores.
                                                                                            1. Desviación media
                                                                                              1. Es la diferencia entre el valor de x y el valor de la media
                                                                                              2. Varianza
                                                                                                1. Incluye todos los datos estudiados y se obtiene con la media de las desviaciones elevadas al cuadrado entre el numero de datos
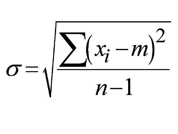
                                                                                                2. Desviación estándar
                                                                                                  1. Cuanto mas grande sea el valor de la desviación estándar indica mayores diferencias entre los datos
                                                                                          Show full summary Hide full summary

                                                                                          Similar

                                                                                          7 Técnicas para Aprender Matemáticas
                                                                                          maya velasquez
                                                                                          Ecuaciones (Primer Grado)
                                                                                          Diego Santos
                                                                                          Fórmulas Geométricas (Perímetros)
                                                                                          Diego Santos
                                                                                          Matemáticasen la VidaCotidiana
                                                                                          Diego Santos
                                                                                          FRACCIONES...
                                                                                          JL Cadenas
                                                                                          FRACCIONES...
                                                                                          Ulises Yo
                                                                                          CÁLCULOS con [ 3 · 5 · 7 ]
                                                                                          JL Cadenas
                                                                                          Preguntas del Pensamiento Matemático
                                                                                          Diego Santos
                                                                                          Factorización de Expresiones Algebráicas
                                                                                          maya velasquez
                                                                                          Matrices y Determinantes
                                                                                          Diego Santos
                                                                                          Factorización de expresiones algebraicas_1
                                                                                          Juan Beltran