null
US
Sign In
Sign Up for Free
Sign Up
We have detected that Javascript is not enabled in your browser. The dynamic nature of our site means that Javascript must be enabled to function properly. Please read our
terms and conditions
for more information.
Next up
Copy and Edit
You need to log in to complete this action!
Register for Free
7797560
HIDRAULICA
Description
Mind Map on HIDRAULICA, created by Dayan Bandala on 21/02/2017.
No tags specified
fisica 2
segundo
Mind Map by
Dayan Bandala
, updated more than 1 year ago
More
Less
Created by
Dayan Bandala
over 8 years ago
244
0
0
Resource summary
HIDRAULICA
se divide en
Hidrostatica
Estudia los fluidos en reposo
Principios
Pascal
Arquimedes
Presion
p=F/A
Presion Atmosferica
Presion Hidrostatica
Hidrodinamica
Estudia el comportamiento de los liquidos en movimiento
Gasto
Volumen de un liquido
Flujo
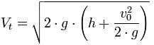
Teorema de Torricelli
Ecuacion de continuidad
Estilo y Diseño
Presas
Piscinas
Media attachments
ef3940e1-5200-4edd-bc44-97658d645106 (image/jpg)
2b7983d9-8c4f-4fe5-9dfb-f34664e48592.gif (image/gif)
8e8d3aac-c36a-4739-9519-63ba133fa804 (image/png)
cbfc2bb7-cf82-42cc-a593-7628cfda5ded (image/jpg)
e1b57c25-4ec8-4d68-ac09-c8e7f0449e2e.gif (image/gif)
25e59832-be67-4a27-b67a-6d31f271fdb6 (image/jpg)
64ec927d-01a7-466b-92c4-41eb49e4d907 (image/jpg)
813596eb-43a6-4f9c-aec4-cfbc5b9f3c3f (image/jpg)
40ec3e3e-324d-45b8-95e5-8ab347dee8b7 (image/png)
cda565e6-3e5a-4fb8-8ada-a32823298b06.gif (image/gif)
a7fa184e-c0aa-40ec-afeb-141b3aa837c8.gif (image/gif)
c47c943d-b31d-487c-9fc3-0377c49e0038 (image/jpg)
f4e15b6d-1dd1-48e6-9d8d-23a011fa5c04.gif (image/gif)
b28a9d85-1b07-4c3f-904c-9111f6a4efd7.gif (image/gif)
Show full summary
Hide full summary
Want to create your own
Mind Maps
for
free
with GoConqr?
Learn more
.
Similar
Examen Tercer Parcial
Josue Arreortua
CUESTIONARIO FUERZAS Y MOVIMIENTOS
Wladimir Basantes
mapa mental
pache122
hidraulica.
paula andrea mor2535
Ingenieria Civil
Jonathan Sánchez
JESUS VELAZQUEZ
chiclitos2011
Hidráulica: Antecedentes, aplicaciones, ventajas y desventajas
Liz González Cuenca
Actividad 2 : ejercicios de Presión
c. corona
Presión
Silvia Herrera
APPS en Play Store sobre Electroneumática, Neumática, Electrohidráhulica y Hidraúlica
Piero Vilca Durand
Tema 9B: Hidràulica. Principis general. Pressió hidrostàtica i unitats de pressió. Bombes d'impulsió. pressió i cabal
Jaouad OB
Browse Library