LA MORFINA

Description

que es la morfina, su farmacocinética, farmacodimania y comercialización
ingrid  lopez
Mind Map by ingrid lopez , updated more than 1 year ago
ingrid  lopez
Created by ingrid lopez over 8 years ago
304
1

Resource summary

LA MORFINA
  1. DROGA OPIACEA
    1. DATOS QUIMICOS
      1. Fórmula: C17H19NO3 - Peso mol. : 285,34
      2. DATOS FISICOS
        1. P. de fusión: 253-254 °C (-172 °F) - Solubilidad en agua: (como clorohidrato) 40 mg/mL (20 °C)
        2. FARMACOCINETICA
          1. Biodisponibilidad :~25% (oral), 100% (intravenosa)- Unión proteica :30–40%-Metabolismo :Hepático 90% Vida media :2–3 horas - Excreción Renal :90%, biliar 10%
            1. FARMACOLOGIA
              1. La morfina es un alcaloide fenantreno del opio, siendo preparado el sulfato por neutralización con ácido sulfúrico. Es una sustancia controlada, opioide agonista utilizada en premedicación, anestesia, analgesia, tratamiento del dolor asociado a la isquemia miocárdica y para la disnea asociada al fracaso ventricular izquierdo agudo y edema pulmonar. Es un polvo blanco, cristalino, inodoro y soluble en agua. Su estructura molecular es C17H19NO3 y su nomenclatura IUPAC es (5α, 6α)-Didehidro-4,5-epoxi-17-metilmorfinan-3,6-diol. Se administra en forma sulfatada, con una solubilidad de 60 mg/mL siendo su estructura (C17H19NO3)2 H2SO4 5H20.
                1. SINTESIS
                  1. La síntesis total de la morfina fue realizada por primera vez por Marshall D. Gates, Jr. en 1952 y es considerada un método clásico.1 2 La síntesis total de Gates de la morfina es uno de los primeros ejemplos de la reacción de Diels-Alder en el contexto de una síntesis total.
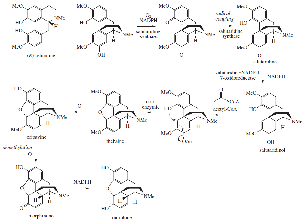
                  2. BIOSINTESIS
                    1. La morfina es biosintetizada en una serie de reacciones en donde están implicadas la salutaridina sintasa, la salutaridina:NADPH 7-oxidoreductasa, y la salutaridinol 7-O-acetiltransferasa.
                    2. USOS MEDICINALES
                      1. Dolor en el infarto agudo de miocardio. Dolor post-quirúrgico. Dolor asociado con golpes. Como analgésico para tratar dolores agudos. Dolor provocado por el cáncer. Dolor provocado por los huesos
                        1. Hipersensibilidad. Depresión respiratoria, traumatismo craneal, presión intracraneal elevada, íleo paralítico o sospecha del mismo, abdomen agudo, vaciado gástrico tardío, enf. obstructiva de vías aéreas, asma bronquial agudo, insuficiencia respiratoria, cianosis, hepatopatía aguda, administración con IMAO o en 2 sem tras interrumpirlos. Embarazo. Lactancia. Administración preoperatoria o en las 1 as 24 h de postoperatorio. Niños < 1 año. Trastornos convulsivos. Intoxicación alcohólica aguda. Administración epidural o intratecal en caso de infección en el lugar de iny. o alteraciones graves de la coagulación.
                          1. VIAS DE ADMINISTRACION
                            1. Respiratoria, oral, rectal, subcutánea, intramuscular, intravenosa, intrarraquidea
                              1. DISTRIBUCIÒN Y COMERCIALIZACIÓN
                                1. RESOLUCIÒN NUMERO 826 DE 2003
                                  1. En esta resolución se expiden normas para el control y vigilancia de la importación, exportación, procesamiento, síntesis, fabricación, distribución, dispensación, compra, venta y destrucción de Materias Primas de Control Especial y medicamentos que las contengan y sobre del Estado.
                                    1. ARTÍCULO 4. Para el otorgamiento del registro sanitario de medicamentos que contengan materias primas de control especial, la autoridad competente debe solicitar al Fondo Nacional de Estupefacientes del Ministerio de la Protección Social una certificación donde conste que es de control especial o monopolio del Estado. En caso de que el medicamento sea de monopolio del Estado el titular del registro sanitario debe ser el Fondo Nacional de Estupefacientes del Ministerio de la Protección Social. Dicha certificación se adjuntará al expediente respectivo y se dará fe en la resolución de registro
                                      1. ARTÍCULO 5. En los primeros cinco (5) días de cada mes las entidades competentes presentarán al Fondo Nacional de Estupefacientes-Ministerio de la Protección Social un informe, de los Registros Sanitarios y Licencias otorgados en el mes anterior en relación con medicamentos que contengan materias primas de control especial.
                                        1. ARTÍCULO 6 Se establecen las siguientes prohibiciones: 1. La fabricación y distribución de muestras médicas de Medicamentos de Control Especial. 2. La entrega de medicamentos de control especial al personal de salud como estrategia de mercadeo, por parte de los laboratorios. 3. La venta y entrega de Medicamentos de Control Especial no podrá despacharse por correo, Internet u otro medio similar.
                                          1. ARTÍCULO 14. Las personas naturales, jurídicas y/o entidades gubernamentales a que hace referencia el artículo 1 de esta Resolución, interesadas en importar, exportar, procesar, sintetizar, fabricar, distribuir, vender, dispensar y comprar localmente materias primas de control especial y medicamentos que las contengan, para fines médicos y científicos, deben inscribirse en la Unidad Administrativa Especial - Fondo Nacional de Estupefacientes del Ministerio de la Protección Social.
                                            1. laboratorios clínicos, químicos, farmacéuticos y de control de calidad, establecimientos farmacéuticos mayoristas y minoristas, droguerías, farmacias, depósitos de drogas para uso humano y veterinario, y profesionales en medicina, odontología, veterinaria, química farmacéutica y demás personal que labora en el campo farmacéutico, tales como, regentes de farmacia, farmacéuticos licenciados, directores de droguerías, expendedores, así como personas naturales o jurídicas, entidades gubernamentales y aquellas que manejen sustancias de Control Especial y medicamentos que las contengan, que importen, exporten, procesen, sinteticen, fabriquen, distribuyan, vendan, dispensen o efectúen compra local de materias primas de control especial y medicamentos que las contengan, para fines médicos y científicos.
                                      2. ARTÍCULO 21. La importación de materias primas de control especial y/o de medicamentos que las contengan, de que trata la presente resolución, solo podrá realizarse por el Fondo Nacional de Estupefacientes del Ministerio de la Protección Social, o a través del mismo previo otorgamiento de la autorización para importar y número de pedido por esa entidad, debe cumplir con los requisitos de la presente ley.
                                        1. ARTÍCULO 39. La exportación de Medicamentos y Materias Primas de Control Especial, deberá hacerse de acuerdo con los Convenios Internacionales sobre Estupefacientes y Sustancias Sicotrópicas y previa autorización del Fondo Nacional de Estupefacientes del Ministerio de la Protección Social. y para obtener esta autorizacion debe cumplir los requisitos
                                          1. ARTÍCULO 42. Las personas naturales o jurídicas legalmente constituidas podrán efectuar compras y ventas locales de Materias Primas de Control Especial, siempre y cuando estén inscritas ante el Fondo Nacional de Estupefacientes del Ministerio de la Protección Social, de acuerdo con lo establecido el Capítulo V de la presente resolución. ( CON AUTORIZACIÓN)
                                            1. ARTÍCULO 52. Para la distribución, venta y consumo de materias primas y medicamentos que las contengan de control especial o Monopolio del Estado, las personas naturales o jurídicas deben cumplir con lo establecido en el capítulo V de la presente resolución y tener en cuenta las prohibiciones establecidas en la presente resolución, así como, cumplir con requisitos que deben cumplir.
                              2. CONTRAINDICACIONES
                    Show full summary Hide full summary

                    Similar

                    Fichas de farmacología
                    Sofía Sánchez Fonseca
                    Farmacología: Principios Básicos
                    Samuel E. Martínez
                    FARMACOLOGÍA DE LA MUSCULATURA ESQUELETICA
                    cass_baltazar
                    EXAMEN AYUDANTE DE FARMACIA IMSS 2018
                    Raúl Octavio Pérez Reséndez
                    Conceptos biofarmacia
                    Sandra Pluma
                    Derecho Positivo vigente y no vigente
                    anarojas4218
                    TOXICOLOGÍA
                    vuela160
                    VIAS DE ADMINISTRACIÓN MEDICAMENTOS
                    omar valle
                    psicofarmacologia
                    bar797
                    Estudio Organizacional y Legal.
                    Stephany Paterni9343
                    MOVIMIENTO PARABOLICO
                    AngieTabares11