Electrostática

Description

Introducción a la electrostática
Rosa Garcia Fones
Mind Map by Rosa Garcia Fones, updated more than 1 year ago More Less
Víctor Hugo Rega
Created by Víctor Hugo Rega over 10 years ago
Rosa Garcia Fones
Copied by Rosa Garcia Fones over 8 years ago
14
1

Resource summary

Electrostática
  1. Estudia la cargas en reposo

    Annotations:

    • Carga Eléctrica: propiedad de la materia, por convenio se tiene Cargas positivas y cargas negativas
    • La carga de un cuerpo es un múltiplo entero de la carga elemental q = n|e|
    1. Electrización

      Annotations:

      • Todos los cuerpos son eléctricamente neutros, porque tienen igual número de electrónes -|e| y de protones +|e|
      • Para electrizar un cuerpo hay que generar un desbalance entre las cargas positivas y negativas
      • Por cuestiones energéticas es más fácil extraer o colocar electrones que protones. Por tanto electricar es quitar o poner electrones en un cuerpo neutro
      1. Por contacto

        Annotations:

        • Si ponemos dos cuerpos en contacto, donde al menos uno de ellos está cargado eléctricamente, la carga se redistribuye de acuerdo a la geometría y carcaterísticas de cada cuerpo
        • Los dos cuerpos quedan cargados con el mismo signo de la carga pero no necesariamente con la misma cantidad de carga 
        1. Por rozamiento

          Annotations:

          • Dos cuerpos que están en disdinto lugar en la escala triboeléctrica se frotan uno contra otro para que uno de ellos gane electrones y el otro los pierda
          • Los dos cuerpos que interactúan quedan cargados con la misma cantidad de carga pero de sentido contrario
          1. Por inducción

            Annotations:

            • Un cuerpo cargado eléctricamente (inductor) se acerca pero no lo topa a un conductor que puede estar neutro. Este conductor se polariza,  Conectamos a tierra la parte del conductor que está al lado opuesto al inductor. Quitamos la conexión a tierra
            • El conductor cada cargado con signo diferente al inductor y con cantidad de carga diferente
            1. Efecto termoeléctrico

              Annotations:

              • Si calentamos un filamento metálico, los electrones por el aumento de la temperatura obtienen suficiente energía cinética para salir del metal y el cuerpo queda cargado positivamente 
              1. Efecto piezoléctrico

                Annotations:

                • Ciertos cerámicos pueden expulsar electrones cuando son sometidos a presión y quedan cargados positivamente
                1. Radiación Beta

                  Annotations:

                  • Un neutrón puede descomponerse en un protón mas un electrón o viceversa
                  1. Beta +

                    Annotations:

                    • Un electrón es atrapado en el núcleo y junto con un protón se convierte en un neutrón
                    1. Beta -

                      Annotations:

                      • Un neutrón se descompone en un protón y un electrón, y el electrón sale del núcleo
                    2. Efecto Fotoeléctrico

                      Annotations:

                      • consiste en la emisión de electrones por un material cuando se hace incidir sobre él una radiación electromagnética
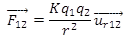
                  2. LEY DE COULOMB
                    1. La fuerza de interacción entre dos cargas

                      Annotations:

                      • Es proporcional al producto de las cargas Es proporcional al cuadrado del reciproco de la distancia entre las cargas Esta dirigida a lo largo de la recta que une las cargas
                      1. Es proporcional al producto de las cargas
                        1. Es proporcional al cuadrado del reciproco de la distancia entre las cargas
                          1. Esta dirigida a lo largo de la recta que une las cargas
                          2. Ecuación
                          3. FÍSICA
                              Show full summary Hide full summary

                              Similar

                              Cinemática
                              maya velasquez
                              CUESTIONARIO DE FÍSICA
                              amam3105
                              Física: Conceptos Básicos
                              maya velasquez
                              Diferencias entre la Química y Física
                              maya velasquez
                              La Ley de la Gravedad
                              maya velasquez
                              Segunda Ley de la Termodinámica
                              Virginia León
                              INTRODUCCIÓN A LA FÍSICA
                              moises silva daza
                              Métodos gráficos para sistemas de fuerzas
                              Andres Alberto Dranuta
                              Método científico
                              Carlos Eduardo Solano González
                              FUENTES DE ENERGÍA
                              Alba Guzman
                              Efecto Fotoeléctrico
                              Katharine Poloche