FÍSICA CUÁNTICA

Description

Mind Map on FÍSICA CUÁNTICA, created by Diego Moratalla on 10/05/2014.
Diego Moratalla
Mind Map by Diego Moratalla, updated more than 1 year ago
Diego Moratalla
Created by Diego Moratalla over 11 years ago
843
0

Resource summary

FÍSICA CUÁNTICA
  1. TEORÍA CORPUSCULAR DE LA LUZ
    1. Luz distribuida en cuantos de luz
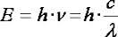
      1. FOTONES
        1. Energía proporcional a su frecuencia.
          1. h: constante de Planck
    2. EMISIÓN TÉRMICA Y TEORÍA CUÁNTICA DE PLANCK
      1. Los cuerpos absorben y emiten radiación térmica
        1. EXITANCIA
          1. Densidad de energía por unidad de tiempo y superficie.
            1. En una representación de la curva de exitancia respecto a la temperatura hay un máximo de radiación para una longitud de onda determinada (máxima).
            2. LEY DE STEFAN-BOLTZMANN
              1. Relaciona la energía con la temperatura. Sigma: cte.
              2. LEY DE WIEN
                1. Relaciona la temperatura con la longitud de onda máxima
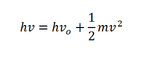
              3. EFECTO FOTOELÉCTRICO
                1. Cuando un fotón incide sobre un metal su energía pasa a un electrón que escapa libremente si la energía del fotón supera la energía umbral (E0) que depende del metal.
                  1. E = E0 + Ec
                    1. Ec: energía cinética máxima
                    2. Potencial de frenado
                      1. aquel necesario para que no llegue al ánodo ningún electrón.
                        1. V = Ec máx /carga del electrón
                    3. EFECTO COMPTON
                      1. Consiste en una aumento de longitud de onda de un fotón cuando choca con un electrón y pierde parte de su energía. Esto depende solo de la dirección de dispersión.
                      2. DUALIDAD ONDA-CORPÚSCULO
                        1. Toda partícula que se mueve lleva asociada una onda cuya longitud de onda viene dada por esta ecuación:
                        2. MODELO ATÓMICO DE BOHR
                          1. PRIMER POSTULADO
                            1. El átomo de hidrógeno está formado por un núcleo positivo en torno al cual gira el electrón.
                            2. SEGUNDO POSTULADO
                              1. El electrón no emite ni absorbe energía mientras permanece en alguna de sus órbitas
                              2. TERCER POSTULADO
                                1. Cuando el electrón cambia de una órbita a otra emite o absorbe energía.
                                2. CUARTO POSTULADO
                                  1. Solo son estables las órbitas en las que el momento angular del electrón es un múltiplo entero de h/2*pi
                                3. MODELO MECANOCUÁNTICO
                                  1. Se explica el comportamiento del átomo mediante la ecuación de ondas de Schrödinger
                                    1. Los electrones se sitúan orbitales, que son zonas que rodean al núcleo en donde es máxima la improbabilidad de encontrarlo.
                                      1. El electrón viene determinado por números cuánticos. n., l, m. Defiinen el orbital del electrón
                                      2. PRINCIPIO DE HEISENBERG
                                        1. Es imposible determinar simultáneamente la posición y la cantidad de movimiento exactas de un electrón.
                                        Show full summary Hide full summary

                                        Similar

                                        Física: Conceptos Básicos
                                        maya velasquez
                                        Diferencias entre la Química y Física
                                        maya velasquez
                                        INTRODUCCIÓN A LA FÍSICA
                                        moises silva daza
                                        CUESTIONARIO DE FÍSICA
                                        amam3105
                                        Pilas y electrolisis - Repaso para Selectividad
                                        Diego Santos
                                        Fundamentos Básicos de la electricidad
                                        SC IDEA
                                        CAPACIDADES CONDICIONALES O CAPACIDADES FÍSICAS BÁSICAS
                                        Delia Marín
                                        Electrotecnia Básica
                                        Felipe Soto
                                        INSTRUMENTOS PARA MEDIR VARIABLES
                                        Alexandra Donoso
                                        CUESTIONARIO DE FISICA MRU
                                        Ricardo Miño
                                        PRINCIPIO DE PASCAL
                                        Katharine Poloche