CASOS DE FACTORIZACIÓN

Description

Matemáticas Mind Map on CASOS DE FACTORIZACIÓN, created by DAYRO ALEJANDRO CELADA FIERRO on 09/05/2017.
DAYRO ALEJANDRO CELADA FIERRO
Mind Map by DAYRO ALEJANDRO CELADA FIERRO, updated more than 1 year ago
DAYRO ALEJANDRO CELADA FIERRO
Created by DAYRO ALEJANDRO CELADA FIERRO over 8 years ago
16
0

Resource summary

CASOS DE FACTORIZACIÓN
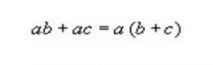
  1. Factor común
    1. Extraer el factor más común
      1. Comprobar el ejercicio multiplicando el factor común por el polinomio o monomio
      2. Factor común por agrupación de términos
        1. Formar dos grupos con el mismo número de términos
          1. Buscar el factor común en cada grupo y factorizarlo
          2. Diferencia de cuadrados perfectos
            1. Extraer la raíz de cada término
              1. Formar dos binomios; uno suma y otro resta de las raíces cuadradas, y multiplicándola entre si
              2. Trinomio cuadrado perfecto
                1. Verificar si aplica para este caso
                  1. Extraer la raíz tanto del primer como el tercer término
                    1. Realizar el doble producto de las dos raíces y comparar con el segundo término
                      1. Formar un grupo al cuadrado de las dos raíces
                      2. Trinomio de la forma X^2 + bx + c
                        1. Formar dos grupos de paréntesis
                          1. Buscar dos números que multiplicado den el término "C" y sumando de el término "B"
                            1. Extraer la raíz del primer término y colocarlo en cada uno de los paréntesis además definir los signos
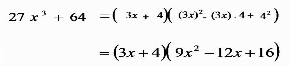
                            2. Suma y Diferencia de cubos perfectos
                              1. Extraer la raíz cúbica de cada término
                                1. Armar un factor corto y largo
                                  1. Desarrollar las operaciones pendientes del factor largo
                                  Show full summary Hide full summary

                                  Similar

                                  Ecuaciones (Primer Grado)
                                  Diego Santos
                                  Fórmulas Geométricas (Perímetros)
                                  Diego Santos
                                  7 Técnicas para Aprender Matemáticas
                                  maya velasquez
                                  Matemáticasen la VidaCotidiana
                                  Diego Santos
                                  FRACCIONES...
                                  JL Cadenas
                                  FRACCIONES...
                                  Ulises Yo
                                  Factorización de expresiones algebraicas_1
                                  Juan Beltran
                                  CÁLCULOS con [ 3 · 5 · 7 ]
                                  JL Cadenas
                                  Preguntas del Pensamiento Matemático
                                  Diego Santos
                                  Factorización de Expresiones Algebráicas
                                  maya velasquez
                                  Matrices y Determinantes
                                  Diego Santos