null
US
Sign In
Sign Up for Free
Sign Up
We have detected that Javascript is not enabled in your browser. The dynamic nature of our site means that Javascript must be enabled to function properly. Please read our
terms and conditions
for more information.
Next up
Copy and Edit
You need to log in to complete this action!
Register for Free
8894170
Fase 5 - Conceptos avanzados de la Física Moderna
Description
conceptos avanzados de física moderna, universidad nacional abierta y a distancia UNAD, marco teórico.
No tags specified
fase 5
fisica moderna
conceptos avanzados
unad
Mind Map by
alejandro cano
, updated more than 1 year ago
More
Less
Created by
alejandro cano
over 8 years ago
80
0
0
Resource summary
Fase 5 - Conceptos avanzados de la Física Moderna
EFECTO TÚNEL A TRAVÉS DE UNA BARRERA DE ENERGÍA POTENCIAL
SIMULADOR APRENDIZAJE PRACTICO
SERIE DE PASCHEN
LA SERIE DE PASCHEN, SE ENCUENTRA EN EL ESPECTRO INFRARROJO
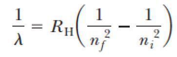
Longitud de onda de un fotón emitido por el hidrógeno.
ECUACION VALOR ESPERADO DE X
Media attachments
Captura (image/jpeg)
Captura (image/jpeg)
Captura (image/jpeg)
Captura (image/jpeg)
Captura (image/jpeg)
Captura (image/jpeg)
Captura (image/jpeg)
Captura (image/jpeg)
Captura (image/jpeg)
Captura (image/jpeg)
Show full summary
Hide full summary
Want to create your own
Mind Maps
for
free
with GoConqr?
Learn more
.
Similar
CLASIFICACION DE LAS EMPRESAS SEGUN LA LEGISLACION COLOMBIANA
ILeana Quiroz Ponce
Unidad III - Dibujo de Conjunto
Mariana Cardozo
FISICA ELECTRÓNICA
Diego Santos
mapa mental historia de la psicologia
Marcela Zapata
Mapa Mental Epistemología
leliogamada .
Diferenciación de términos de Manejo Ambiental.
Néstor Humberto Mateus Pulido
DIBUJO PROYECTIVO UNIDAD 2
Hector E Carvajal
Comunicacion Organizacional con Herramientas de (PNL).
magda ayala
MAPA MENTAL ORIGEN Y DESARROLLO DE LA SOCIOLOGIA
Martha Isabel Barrera Medina
ARQUITECTURA DE COMPUTADORES
Ivan Guillermo Duart
Cálculo Integral
Wilmer Amézquita Obando
Browse Library