REACCIONES REDOX

Description

Mind Map on REACCIONES REDOX, created by alexdario943129 on 19/05/2014.
alexdario943129
Mind Map by alexdario943129, updated more than 1 year ago
alexdario943129
Created by alexdario943129 over 11 years ago
8072
11

Resource summary

REACCIONES REDOX
  1. REACCIONES DE ÓXIDO- REDUCCIÓN
    1. LOS ATOMOS EXPERIMENTAN CAMBIOS
      1. EN EL NÚMERO DE OXIDACIÓN
        1. numero de electrones que GANA o PIERDE un elemento al formar un compuesto
      2. En los elementos libres
        1. el n° de oxidación es CERO
          1. Ej: N2, Cl2, K
        2. OXIDACIÓN
          1. pérdida de electrones
            1. REDUCEN A OTRA SUSTANCIA
            2. REDUCCIÓN
              1. ganancia de electrones
                1. OXIDAN A OTRA SUSTANCIA
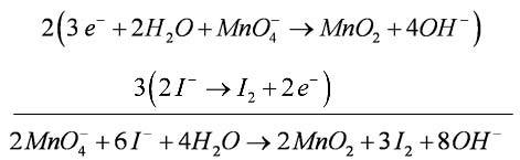
                2. MÉTODO DEL IÓN ELECTRÓN
                  1. la reacción global se divide en dos semirreacciones
                    1. una de oxidación y otra de reducción
                    2. MEDIO ÁCIDO
                      1. MEDIO BÁSICO
                    Show full summary Hide full summary

                    Similar

                    Nomenclatura química (Sistemas Stoke y Estequiométrico)
                    Marcela Fallas
                    Preguntas sobre mezclas
                    lina maria mejia gaviria
                    TEST REPASO BIOQUÍMICA
                    VICTOR MANUEL VITORIA RUIZ
                    Ciclos de los Elementos
                    Diego Santos
                    TEST ESTRUCTURA ATÓMICA
                    VICTOR MANUEL VITORIA RUIZ
                    Estructura atómica. Modelos y Teorías
                    Jean Paul Arango
                    nomenclatura de la química inorgánica
                    Rafael Sanchez
                    Bioquimica
                    Ricky Mendoza Or
                    temas quimica exani II
                    ibeth cruz
                    TEMA 1: BIOELEMENTOS, AGUA Y SALES MINERALES
                    Gloria Aguilar Recuenco
                    BIOELEMENTOS Y BIOMOLÉCULAS
                    jsgs0695