ESTUDO DO PONTO

Description

Concursos Públicos Matemática (GEOMETRIA ANALÍTICA) Mind Map on ESTUDO DO PONTO, created by Matheus Fagundes on 21/08/2017.
Matheus Fagundes
Mind Map by Matheus Fagundes, updated more than 1 year ago
Matheus Fagundes
Created by Matheus Fagundes about 8 years ago
86
1

Resource summary

ESTUDO DO PONTO
  1. 1. ( X , Y )

    Annotations:

    • ONDE:  X É A ABCISSA Y É A ORDENADA
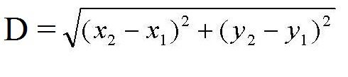
    1. 2. CALCULANDO A DISTÂNCIA ENTRE DOIS PONTOS (Dab)

      Annotations:

      • TIRAR  A DIFERENÇA ENTRE OS DOIS PONTOS QUE  CORRESPONDEM -SE  AO MESMO EIXO.
      • EX:  X1-X2 OU Y1-Y2
      • FORMAR MAIS UM  PONTO (PONTO C) DE MODO A  CRIAR UM TRIÂNGULO  RETÂNGULO. PODENDO ASSIM  USAR  A FÓRMULA  DE PITÁGORAS
      1. Dab² = (X1-X2)² + (Y1-Y2)²

        Annotations:

        • (X1-X2) OU (X2-X1) ESTÃO  AMBOS CORRETOS. POIS A ORDEM NÃO IRÁ ALTERAR O RESULTADO, VISTO QUE O VALOR SERÁ POSTERIORMENTE ELEVADO AO QUADRADO.
        • APENAS ATENTE-SE PARA EFETUAR AS OPERAÇÕES COM OS RESPECTIVOS EIXOS: X COM X E Y COM Y
        1. LOGO:
      2. 3. PONTO MÉDIO (Xm e Ym)

        Annotations:

        • É O PONTO QUE ENCONTRA-SE NO MEIO DA DISTÂNCIA ENTRE OUTROS DOIS PONTOS. 
        1. SUA FÓRMULA:

          Annotations:

          • SE  DÁ  HAVENDO A MÉDIA ENTRE  OS OUTROS DOIS PONTOS.
          • Xm= PONTO  MÉDIO  X Ym= PONTO  MÉDIO Y
        2. 4.1. BARICENTRO (G)

          Annotations:

          • PONTO DE EQUILÍBRIO DO POLÍGONO. MEIO DO POLÍGONO
          1. FÓRMULA:

            Annotations:

            • CALCULA-SE A MÉDIA ARITMÉTICA DOS TRÊS VÉRTICES DO TRIÂNGULO .TANTO DE X QUANTO DE Y.
          2. 4.2. ÁREA

            Annotations:

            • DE QUALQUER POLÍGONO. CASO SEJA UM POLÍGONO COM MAIS DE 3 LADOS. UTILIZAR CADA PONTO NA FÓRMULA NA SEQUÊNCIA (ANALISANDO NO PLANO CARTESIANO) HORÁRIA OU ANTI-HORÁRIA.
            1. A = 1/2 . |DET|

              Annotations:

              • DETERMINANTE FICARÁ EM MÓDULO
              1. CÁLCULO DETERMINANTE

                Annotations:

                • |   Xa + Ya   | |   Xb + Yb   | |   Xc + Yc    | |   Xa + Ya    |
                • RESUMINDO A FÓRMULA: -PRIMEIRO -SEGUNDO -TERCEIRO -PRIMEIRO NOVAMENTE OU (SE FOREM 4) -PRIMEIRO -SEGUNDO -TERCEIRO -QUARTO -PRIMEIRO
                • I. MULTIPLICA-SE EM DIAGONAIS II. DIAGONAL DA ESQUERDA P/ DIREITA (MANTÉM O SINAL) III. DIAGONAL DIREITA P/ ESQUERDA (INVERTE O SINAL)
                1. | Xa + Ya | | Xb + Yb | | Xc + Yc | | Xa + Ya |
            2. 6. CONDIÇÃO DE ALINHAMENTO DE 3 PONTOS

              Annotations:

              • DOIS TIPOS: ALINHADOS E NÃO ALINHADOS. O VALOR DO DETERMINANTE É QUEM DECIDE
              1. COLINEAR -> ALINHADOS

                Annotations:

                • SE: D=0 SÃO COLINEARES (ALINHADOS)
                • SE: D#0 NÃO SÃO ALINHADOS (FORMAM TRIÂNGULO)
                  1. Det = 0
                  2. NÃO ALINHADOS -> TRIÂNGULO
                    1. DET # 0

                      Annotations:

                      • ENTENDA-SE "DIFERENTE"
                  Show full summary Hide full summary

                  Similar

                  Tabuada
                  Alessandra S.
                  Matemática Básica
                  Alessandra S.
                  Geometria Plana
                  Bruno Fernandes3682
                  Como Estudar Matemática
                  Alessandra S.
                  Simulado de Matemática
                  Alessandra S.
                  Simulado Matemática
                  Marina Faria
                  Roteiro de Estudo - Matemática
                  Luiz Fernando
                  Plano de estudos ENEM - Parte 2 *Exatas/Biológicas
                  GoConqr suporte .
                  Geometria Plana Triângulo
                  Luiz Antonio Lopes
                  Matemática - Triângulos
                  Felipe Perreira
                  Conhecimentos de Estatística e Probabilidade
                  Sem Parar