Calculo Integral

Description

Mapa mental de la primera unidad de Calculo integral
Maria Fernanda SAKAMOTO RINCON
Mind Map by Maria Fernanda SAKAMOTO RINCON, updated more than 1 year ago More Less
Roman Rodriguez Solorzano
Created by Roman Rodriguez Solorzano over 8 years ago
Maria Fernanda SAKAMOTO RINCON
Copied by Maria Fernanda SAKAMOTO RINCON almost 6 years ago
3
0

Resource summary

Calculo Integral
  1. Medición aproximada de figuras amorfas.
    1. Division de la figuras amorfas, en figuras cuya area sea facil determinar
    2. Notación sumatoria
      1. Serie de sumas denotadas por sigma.
      2. Sumas de Riemann
        1. La sumas de Riemann es un procedimiento para la resoluciones de sumatorias y pueden ser usadas para determinar areas bajo la curva
        2. Definición de integral definida
          1. Si f es continua en el intervalo [a,b], entonces el area bajo la curva f sobre el intervalo [a,b], se puede deteminar:
          2. Teorema de existencia.
            1. Propiedades de la integral definida
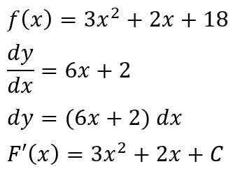
              1. Función primitiva
                1. Es toda aquella funcion que fue derivada que posteriormente fue integrada y ya no es igual.
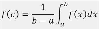
                2. Teorema del valor medio.
                  1. El valor de f(c) hallado según el teorema del valor medio para integrales coincide con el valor promedio de las áreas de los rectángulos que se puedan formar de una función.
                  2. Teorema fundamental del cálculo.
                    1. El teorema fundamental del cálculo dice que la derivada de la función integral de la función continua f(x) es la propia f(x).
                    2. Cálculo de integrales definidas básicas
                      Show full summary Hide full summary

                      Similar

                      Diapositivas de que es el comportamiento organizacional
                      tcrz1993
                      Cuestionario NTIC's II
                      Oscar Rafael
                      Integrales conocidas
                      Bruno Solís
                      VECTORES
                      Rocio Cachay
                      Cálculo Integral: Derivadas e Integrales frecuentes
                      BRUNO SALVADOR SOLIS DIAZ
                      teorema fundamental del calculo
                      Elvin Samudio
                      teorema fundamental del calculo
                      Elvin Samudio
                      Mapa Mental: Teoría Fundamental Del Cálculo
                      Elvin Samudio
                      Mapa Mental: Teoría Fundamental Del Cálculo
                      Elvin Samudio
                      teorema fundamental del calculo
                      José Reyes