OCR Chemistry - F322 - Module 2

Description

The entire module in detail
jacob gray
Mind Map by jacob gray, updated more than 1 year ago
jacob gray
Created by jacob gray over 10 years ago
246
16

Resource summary

OCR Chemistry - F322 - Module 2
  1. Alcohols
    1. Making
      1. Hydration of ethene

        Annotations:

        • Made using ethene (C2H4) collected from crude oil (finite resource)
        • For each time the reactants go through the reactor only 5% of the ethene is converted. The same reactants can be recycled again and again to get a 95% conversion 
        1. C2H4 + H2O = C2H50H

          Annotations:

          • A H3PO4 catalyst is used. Done at 300 degrees C. Done at 60 ATM (Atmospheric pressure)
        2. Fermentation

          Annotations:

          • Carbohydrates (C6H1206) converted into ethanol and carbon dioxide
          1. C6H12O6 = 2(C2H5OH) + 2(CO2)

            Annotations:

            • Done at 37 degrees C. (Its optimum temperature) Reaction done by yeast with anaerobic respiration, the lack of oxygen stop products such as ethanal or ethanoic acid being formed (which would impact on taste)
            • The enzyme zymase (found in the yeast) stops working once at 14% concentration as the toxicity damages the active site.
            1. C6H12O6 + 6O2 = 6CO2 + 6H2O

              Annotations:

              • This is the reaction if it is done aerobicaly 
          2. Using
            1. Ethanol
              1. Fuels

                Annotations:

                • It burns cleanly. 10 % is mixed with petroleum to increase octane rating. Fuel benefits economically and environmentally due to ethanol in fuels being made from renewable resources.
                1. Drinks

                  Annotations:

                  • Only ethanol made from fermentation is used for drinks. Stronger drinks need to be distilled (Heated so water boils out of the solution leaving a more concentrated form of ethanol)  
                  1. Methylated spirits

                    Annotations:

                    • Fuel in spirit burners. Solvent for removing stains. Made of ethanol mixed with small amounts of methanol.
                    1. Perfume
                      1. After shave
                      2. Methanol
                        1. Fuels

                          Annotations:

                          • Burns cleanly. Used in racing cars
                          1. !Toxic!

                            Annotations:

                            • Small quantities ingested cause organ damage and death.
                        2. Properties
                          1. Classification
                            1. Primary
                              1. Secondary
                                1. Tertiary
                                2. Volatility

                                  Annotations:

                                  • Volatility: the ease that a liquid can turn into a gas.
                                  • Volatility increases as boiling point increases.
                                  • Volatility in alcohols is limited due to the intermolecular forces holding each alcohol molecule together (Hydrogen bonds)
                                  1. Hydrogen bonds
                                  2. Boiling point

                                    Annotations:

                                    • The boiling point is relatively high in alcohols due to the presence of hydrogen bonds, holding the different molecules together
                                    1. Hydrogen bonds

                                      Annotations:

                                      • Strongest type of intermolecular forces
                                      1. Annotations:

                                        • The delta negative charge of the oxygen is attracted to the delta positive of the hydrogen.
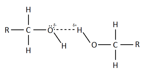
                                    2. Solubility

                                      Annotations:

                                      • Alcohols can dissolve in water because hydrogen bonds can form between the water O-H and the alcohol O-H.
                                      • Only the first 3 alcohols are soluble in water.
                                      • As chain length increases, solubility decreases. This is due to the non-polar carbon and hydrogen being to big to fit between the polar water molecules
                                      • If there is a solubility question, look for OH to make hydrogen bonds.
                                    3. Combusion
                                      1. Complete combustion
                                        1. C2H5OH + 3(O2) = 2(CO2) + 3(H2O)
                                        2. Incomplete combustion

                                          Annotations:

                                          • If there is a yellow flame and black smoke, there is an absence of oxygen and carbon is formed. Also caused from poor ventilation.
                                          1. C2H5OH + 2(O2) = 2(CO) + 3(H2O)

                                            Annotations:

                                            • The equation (depending on the fuel) can use 1/2 an oxygen molecule to make a balanced equation 
                                        3. Oxidation

                                          Annotations:

                                          • All oxidation reactions include potassium dichromate (K2Cr2O7) and sulfuric acid (H2SO4)
                                          1. Primary

                                            Annotations:

                                            • The product given is dependant on the heat the reaction takes place.
                                            1. Annotations:

                                              • Reactions also includes [O] which means oxidising agent 
                                              • Top equation is heated in reflux at a stronger heat (and with excess acidified dichromate) to be turned into a carboxylic acid.
                                              • Bottom equation has been distilled to produce the aldehyde
                                            2. Secondary

                                              Annotations:

                                              • Secondary alcohols oxidise to make a ketone and only a ketone.
                                              1. Annotations:

                                                • An OH group becomes a double bonded O
                                              2. Tertiary

                                                Annotations:

                                                • Tertiary alcohols do not oxidise.
                                              3. Esterfication

                                                Annotations:

                                                • This is the combination of an alcohol and a carboxylic acid.
                                                • The reaction is done with a concentrated sulfuric acid catalyst.
                                                • An ester is spotted by carbon being bonded to either side of an oxygen
                                                1. Making an ester

                                                  Annotations:

                                                  • 1. In a boiling tube, as 1cm^3 of the carboxylic acid to 1cm^3 of the alcohol. 2. Carefully add a few drops of concentrated sulfuric acid. 3.Place boiling tube in water bath at 80*C for 5 minutes. 4. Pour the product into a beaker of cold water. Observation will show a sweet smelling oil floating on the surface.
                                                  1. Annotations:

                                                    • E.g.  Ethanoic acid + Methanol = Methyl Ethanoate + Water
                                                2. Dehydration

                                                  Annotations:

                                                  • Dehydration is an example of an elimination reaction. Like the name suggests, a molecule has a H20 removed/eliminated.
                                                  • Common examples are with straight chained and cyclic alcohols.
                                                  1. How its done

                                                    Annotations:

                                                    • The alcohol is heated IN REFLUX with phosphoric acid or concentrated sulfuric (Any strong acid for a catalyst) for 40 minutes.
                                                    1. Acid catalyst

                                                      Annotations:

                                                      • The OH branch is lost but a double bond is formed in one of the ways of the same carbon atom
                                                    2. Halogenoalkanes
                                                      1. About

                                                        Annotations:

                                                        • Basic things to know about halogenoalkanes.
                                                        1. Names/naming
                                                          1. Fluoro
                                                            1. Chloro
                                                              1. Bromo
                                                                1. Iodo
                                                                  1. E.g. 3-bromo-2chloropentane

                                                                    Annotations:

                                                                    • When a molecule has multiple halogens in it, they get named in alphabetical order, despite which carbon they're attached to.
                                                                  2. CnH2n+1X

                                                                    Annotations:

                                                                    • This is the standard formula of a halogenoalkane where X is the halogen.
                                                                    1. X^-

                                                                      Annotations:

                                                                      • When a halogen is just a lone ion, it is called a halide.
                                                                    2. Reactions

                                                                      Annotations:

                                                                      • These are the common reactions that you may be asked about on topics such as speed of reaction, drawing the reaction mechanism or even what the products would be.
                                                                      1. Hydrolysis

                                                                        Annotations:

                                                                        • What happens in a hydrolysis reaction is what the name suggests. 'Hydro-' suggests that the reaction includes water (Helpful reminder)  
                                                                        • The reaction involves removing the halogen from the molecule and replacing it with a OH^-, creating an alcohol.
                                                                        1. Rate of hydrolysis

                                                                          Annotations:

                                                                          • The rate of hydrolysis is different for different halogens, the rate for each can be determined by the following experiment.
                                                                          • Two test tubes are made, one with the halogen, one with water, ethanol and aqueous silver nitrate. Both of the tubes are heated in a water bath to 50*C.  Equal volumes of each tube are added to the halogen. Time how long it takes for the precipitate to form for the different halogens.
                                                                          • To make sure that the test is accurate, ensure that: The halogens are all the same chain length. Equal amounts (in moles) of the halogens are used. The temperatures are the same.
                                                                          1. E.g. RX + AgNO3 + C2H5OH = RC2H5O + AgX + HNO3

                                                                            Annotations:

                                                                            • R signifies the chain attached to the halogen. X signifies the halogen.
                                                                            • Being asked this equation is unlikely, the most likely is: Ag^+ + X^- = AgX including state symbols
                                                                            1. The precipitate and colour

                                                                              Annotations:

                                                                              • AgCl - white AgBr - cream AgI - yellow
                                                                            2. Factors that affect this
                                                                              1. Bond enthalpy

                                                                                Annotations:

                                                                                • Bond enthalpy is the amount of energy it takes to break the bond. The further down the group, the less energy it takes to break the bond. So the reaction will be faster with halogens down the group.
                                                                                1. Polarity

                                                                                  Annotations:

                                                                                  • The more polar a bond (Due to the electronegativity of the halogen) the faster the reaction due to the carbon being more delta positive, attracting nucleophiles more readily.
                                                                                  1. Overall

                                                                                    Annotations:

                                                                                    • Despite the 2 factors which don't complement each other, the over all rate of hydrolysis, it is the bond enthalpy that has a bigger affect than polarity.
                                                                                    • So the rate of hydrolysis increases down group 7.
                                                                                2. E.g. C4H9Br + OH^- = C4H9OH + Br^-

                                                                                  Annotations:

                                                                                  • Here is an example of the reaction that takes place.
                                                                                  • All reactants and products have an aqueous state (aq)
                                                                                3. Nucleophilic substitution

                                                                                  Annotations:

                                                                                  • This is a reaction mechanism that you will quite possibly have to draw out.
                                                                                  • The process: The hydroxide ion has a lone pair of electrons which are attracted to the electron deficient carbon atom, to which they're donated to. (This is known as a nucleophilic attack) The donated pair of electrons leads to the formation of another covalent bond. The bond between the halogen and carbon breaks via hetrolytic fission, meaning one of the electrons in that bond goes with the halogen, forming a halide ion. 
                                                                                  1. Annotations:

                                                                                    • Important things to remember to draw: The delta charges on the halogen-carbon bond. Any charges in the ions used or produced. The use of curly arrows            (These represent the movement of electrons) both from the 2 reactants and between the halogen-carbon bond as this breaks from hetrolytic fission.  The direction of the curly arrows. Any lone electrons being reacted if present (The 2 dots by the OH^- ion)
                                                                                4. Environment

                                                                                  Annotations:

                                                                                  • Halogenoalkanes have numerous forms which will impact on the environment in different ways.
                                                                                  1. Polymers

                                                                                    Annotations:

                                                                                    • Common polymers containing halogenoalkanes such as tetrafluoroethene become polytetrafluoroethene (the difference is the double done adding length to the chain) 
                                                                                    • The carbon-fluorine bond is very strong, inert and resistant to chemical attack. This makes it have properties such as: Non-stick, electrical insulating and heat resisting. Useful for pans, nail polish and pipes. 
                                                                                    • PVC (Polychloroethene / Poly vynal chloride  C2H3Cl) is another example  of a useful halogen polymer)
                                                                                    1. Chlorofluorocarbons

                                                                                      Annotations:

                                                                                      • These are common in fridges, they are stable until they reach the stratosphere. 
                                                                                      • The structure of a CFC can be: CCl3F or CCl2F2 in a tetrahedral shape.
                                                                                      1. Affects on the ozone

                                                                                        Annotations:

                                                                                        • Once CFC'c reach the stratosphere, they are broken down by the UV radiation to form chlorine radicals. Chlorine radicals catalyse the breakdown of ozone (O3) which absorbs most of the suns UV radiation, preventing it reach the earth surface. With less ozone, more UV radiation is reading the earths surface, contributing to global warming and causing skin cancers.
                                                                                        1. Alternatives

                                                                                          Annotations:

                                                                                          • Hydrofluoroalkanes, HFC's, and Hydrofluorohydrocarbons, HCFC's are non-toxic and non-flammable replacements. E.g. CHClF2
                                                                                          • HCFC's and CHCFC's cause one tenth of the damage or less than that CFC's cause.  These will be replaced by a better replacement is developed.
                                                                                          • Propellants labeled 'ozone-friendly' containing hydrocarbons such as butane are flammable, which plan to be phased out.
                                                                                      2. Reactivity
                                                                                        1. The C-Halogen bond

                                                                                          Annotations:

                                                                                          • The bond between the carbon and halogen is a polar bond, this means that the electrons are closer to one of the atoms, resulting in a permanent charge difference of the carbon being delta positive and the halogen being delta negative. 
                                                                                          • This happens due to the halogen being more delta negative (More of an attraction to elections) than the carbon atom in the bond.
                                                                                          1. Electronegativity

                                                                                            Annotations:

                                                                                            • The electronegativity is different between the halogens.  If you go down group 7, the electronegativity is lower. This reduces the polarity of the bond.
                                                                                            • Since the carbon atom in the bond is delta positive, it will attract nucleophiles.  These nucleophiles will react with the halogen in substitution reactions and will replace the halogen forming a different functional group. (E.g. H2O, OH^-, NH3)
                                                                                        2. Reaction Equasions
                                                                                          1. Percentage yeild

                                                                                            Annotations:

                                                                                            • Actual amount of product(Moles) / Theoretical amount of product(Moles) Then x100 to get a percent.
                                                                                            • 100% yields are rarely obtained for these reasons: Reactions can be in equilibrium, by-products can be formed, impurities in the reactants, some of the material is left while transferring containers.
                                                                                            1. Atom economy

                                                                                              Annotations:

                                                                                              • Molecular mass of wanted products / sum of all the masses of every product. Then x100 to get a percentage.
                                                                                              • Benefits of good atom economy: Reduces waste products that can be harmful or have no use, this reduces landfill and cost of proper disposal of harmful chemicals/substances.
                                                                                              • Improve atom economy by using lighter elements to form the bi-products 
                                                                                            2. Spectroscopy
                                                                                              1. Infrared

                                                                                                Annotations:

                                                                                                • An everyday use will be breathalysers
                                                                                                • It idenitifies functional groups / bonds, then is compared to known compounds, can be used to measure the concentration / abundance of compound.
                                                                                                1. Annotations:

                                                                                                  • Here is the layout of the machine that performs the infrared spec.
                                                                                                  • This machine works by knowing how much a bond will absorb infrared radiation at different frequencies that each bond has its own unique vibration frequency when absorbing infrared.  If you know the frequency, you can spot it on a graph and work out what bonds the molecule has. By knowing this, you can determine properties of the molecule.
                                                                                                  1. Annotations:

                                                                                                    • Here is an example of an IR spec. Different peaks show different bonds present in the molecule. These peaks are in your data sheet given to you, so no need to remember them perfectly.
                                                                                                    • The peaks past the C-O bond is called the fingerprint region, it would be difficult to see any key peaks on most spectroscopy readings in this region.
                                                                                                    • If there is no curve to the OH peak, it is just a CH peak
                                                                                                    1. What to look for in the graph

                                                                                                      Annotations:

                                                                                                      • A key thing to remember with the O-H peak is that if it is a broad peak (E.g. wider than the one shown) The molecule is a carboxylic acid.
                                                                                                      • Most important bonds to recognise on a graph are: C=O, O-H and what combination of bonds make which species of organic compound.
                                                                                                  2. Mass

                                                                                                    Annotations:

                                                                                                    • This is the breaking of molecules to get the mass of them
                                                                                                    1. In organic chemistry

                                                                                                      Annotations:

                                                                                                      • It is common in tests for the molecule being fragmented to be an organic compound
                                                                                                      1. Fragmentation

                                                                                                        Annotations:

                                                                                                        • You may be asked to draw possible fragments of a compound with a certain molecular weight, there are certain things to include in those drawings.
                                                                                                        1. Annotations:

                                                                                                          • This is an example of                   2-methylbutane breaking at the point marked with a zigzag (Remember that is molecule is positively charged during fragmentation, so therefore is an ION)
                                                                                                          • The resultant IONS need to be drawn to show that they are ions. To do this, draw them in square brackets, with a positive charge, and a solid dot under the charge to show it is a radical also.
                                                                                                        2. Annotations:

                                                                                                          • Mass spec works by firing electrons at a gaseous sample of molecules to break some of their bonds and turning them into fragments (Only the one bond in a molecule is broken, it is unlikely that 2 bonds in the same molecule will be broken) . 
                                                                                                          • These fragments get weighed and by knowing the mass of all the possible different fragments, an accurate mass can be calculated, and even identify what the molecule is and what is in it, and even the structure of it.
                                                                                                          1. Annotations:

                                                                                                            • Important things to notice on the mass spec graph is the final peak on the far right, this is called the molecular ion peak
                                                                                                            • The higher the peak, the more there is of that fragment 
                                                                                                            • In this example, you can see how diatomic elements are formed with different isotopes and even the abundance of each isotope. You can see some Cl2 made with both of the same isotope, and some being made of one of each isotope.
                                                                                                            1. Making it positive

                                                                                                              Annotations:

                                                                                                              • For the molecule to be detected on the metal detector plate, the molecule need to be positively charged (An ion) to calculate its mass-to-charge ratio (M/Z)
                                                                                                              • The equation to make the molecule into an ion is: E.g. C4H10 + e^- = C4H10^+ + 2e^-
                                                                                                          Show full summary Hide full summary

                                                                                                          Similar

                                                                                                          C2: Material Choices Test
                                                                                                          James McConnell
                                                                                                          Shapes of Molecules
                                                                                                          Robert Hebbs
                                                                                                          AS Chemistry - Enthalpy Changes
                                                                                                          Sarah H-V
                                                                                                          Organic Chemistry
                                                                                                          Ella Wolf
                                                                                                          A Level Chemistry Unit 1 - Organic Chemistry
                                                                                                          charlottehyde
                                                                                                          A2 Organic Chemistry - Reactions
                                                                                                          yannycollins
                                                                                                          Acids and Bases
                                                                                                          Sarah Egan
                                                                                                          Using GoConqr to study science
                                                                                                          Sarah Egan
                                                                                                          Ionic Bondic Flashcards.
                                                                                                          anjumn10
                                                                                                          Electrolysis
                                                                                                          lisawinkler10
                                                                                                          Acids and Bases
                                                                                                          silviaod119