Números Complejos

Description

la explicación breve de los Números Complejos.
diva sansanwal
Mind Map by diva sansanwal, updated more than 1 year ago
diva sansanwal
Created by diva sansanwal almost 11 years ago
115
1

Resource summary

Números Complejos
  1. formado por
    1. numeros reales
      1. es decir
        1. aquel que puede ser expresado por un número entero
          1. por ejemplo
            1. 4, 15, 1.25, 38.1236
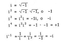
      2. numeros imaginarios
        1. en otras palabras
          1. Es un número que cuando se eleva al cuadrado (se multiplica por sí mismo) da un resultado negativo.
            1. por ejemplo
              1. i, 12.38i, -i, 3i/4, 0.01i, -i/2
      3. al respeto
        1. pueden reflejar a todas las raíces de los polinomios, algo que los números reales no están en condiciones de hacer.
          1. por eso
            1. los números complejos se emplean en diversos campos de las matemáticas, en la física y en la ingeniería.
        2. de manera que
          1. z=a+bi
            1. donde
              1. a= parte real
                1. b= parte imaginaria
                  1. i= unidad imaginaria
          2. Conjugado de un Número Comlejo
            1. se obtiene por simetría del dado respecto del eje de abscisas.Dado un número complejo, su conjugado puede representarse poniendo encima del mismo una línea horizontal.
              1. por ejemplo
            Show full summary Hide full summary

            Similar

            Números Naturales
            barbara.ortega
            Números Complejos
            Julieta Maya
            Números Complejos e Imaginarios
            Montse Dorantes
            The numbers in Spanish from 1 to 30
            Catherine Trujillo-Bracero
            The numbers in Spanish from 30 to 100
            Catherine Trujillo-Bracero
            Números Complejos Juan Francisco G.
            Juanfra Guderian
            FICHAS DE NÚMEROS ROMANOS
            Sara Gonzalez
            El autor hace una crítica a la sociedad
            Zyanya Mariela Mata Bravo
            Constantes y variables
            Krhisna Velazquez
            FUNCÓN SI
            al211843
            Algoritmo
            Krhisna Velazquez