null
US
Sign In
Sign Up for Free
Sign Up
We have detected that Javascript is not enabled in your browser. The dynamic nature of our site means that Javascript must be enabled to function properly. Please read our
terms and conditions
for more information.
Next up
Copy and Edit
You need to log in to complete this action!
Register for Free
26323772
Formas de la Ecuación de la Recta
Description
Presentar ejemplos de las distintas formas de la ecuación de la recta
No tags specified
punto pendiente
pendiente ordenada al orígen
general
simétrica
normal
tercero
Mind Map by
AGUSTIN OLAYA
, updated more than 1 year ago
More
Less
Created by
AGUSTIN OLAYA
about 5 years ago
29
0
0
Resource summary
Formas de la Ecuación de la Recta
Punto Pendiente
Pendiente ordenada al orígen
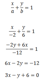
General
Simétrica
Normal
Media attachments
Ecuacion De La Recta Normal 1 (image/png)
Ecuaci N De La Recta8 Orig (image/png)
Esfsdgsdg 4 Orig (image/png)
ECUACIÓN DE LA RECTA DADO EL PUNTO Y LA PENDIENTE (JUSTIFICACIÓN DE LA FÓRMULA) EJEMPLO 1 (Embed)
Pendiente Ordenada Al Origen (image/png)
Show full summary
Hide full summary
Want to create your own
Mind Maps
for
free
with GoConqr?
Learn more
.
Similar
LOGARITHMS
pelumi opabisi
Whole Number Glossary L1
Lee Holness
Quick tips to improve your Exam Preparation
James Timpson
General questions on photosynthesis
Fatima K
Command Words
Mr Mckinlay
Maths
Emmet McDonald
atoms and elements
Danoa400
IMAGS Employment Examination for Applicants
mike_101290
cells
joesmith20
Fractions L1
Lee Holness
atoms and elements
c.kennedy
Browse Library