Teoría de Conteo

Description

Mind Map on Teoría de Conteo, created by ISABELLA OSPINA SAENZ on 31/05/2015.
ISABELLA OSPINA SAENZ
Mind Map by ISABELLA OSPINA SAENZ, updated more than 1 year ago
ISABELLA OSPINA SAENZ
Created by ISABELLA OSPINA SAENZ over 10 years ago
352
0

Resource summary

Teoría de Conteo
  1. Usadas para enumerar eventos difíciles de cuantificar
    1. Calculadora de Combinaciones y Permutaciones
      1. http://www.disfrutalasmatematicas.com/combinatoria/combinaciones-permutaciones-calculadora.html
    2. Principio de multiplicación
      1. Si un evento A puede ocurrir de n1 maneras y una vez que este ha ocurrido, otro evento B puede n2 maneras diferentes entonces, el número total de formas diferentes en que ambos eventos pueden ocurrir en el orden indicado, es igual a n1 x n2.
        1. ¿De cuántas maneras pueden repartirse 3 premios a un conjunto de 10 personas, suponiendo que cada persona no puede obtener más de un premio?
          1. Aplicando el principio fundamental del conteo, tenemos 10 personas que pueden recibir el primer premio. Una vez que éste ha sido entregado, restan 9 personas para recibir el segundo, y posteriormente quedarán 8 personas para el tercer premio. De ahí que el número de maneras distintas de repartir los tres premios
            1. 10 x 9 x 8= 720
              1. ¿Cuántas placas de automóvil se pueden hacer utilizando dos letras seguidas de tres cifras? No se admiten repeticiones.
                1. 26 x 25 (las 2 letras) x 10 x 9 x 8 = 468000
                  1. Si, sin embargo, hay un gran número de posibles resultados tales como el número de niños y niñas por familias con cinco hijos, sería tedioso listar y contar todas las posibilidades. Las posibilidades serían, 5 niños, 4 niños y 1 niña, 3 niños y 2 niñas, 2 niños y 3 niñas, etc
                    1. 5 x 4 x 1 x 3 x 2 x 2 x 3 x 1 x 4 x 5 = 14400
      2. Permutación
        1. Tiene orden
          1. PP Permutación... Posición
            1. Repetición
              1. Una cerradura que se puedan repetir los números "333"
                1. Si tienes n cosas para elegir y eliges r de ellas
                  1. n × n × ... (r veces) = n(elevado a)r
                    1. Porque hay n posibilidades para la primera elección, DESPUÉS hay n posibilidades para la segunda elección (ya que se puede repetir) , y así.
                      1. Por ejemplo en la cerradura de arriba, hay 10 números para elegir: (0,1,...,9) y eliges 3 de ellos 10 × 10 × ... (3 veces) = 103 = 1000 permutaciones
              2. Sin Repetición
                1. Los tres primeros puestos en una carrera, dos personas no pueden quedar de primeras
                  1. Se reduce el número de opciones en cada paso
                    1. Por ejemplo, ¿cómo podrías ordenar 16 bolas de billar? Después de elegir por ejemplo la "14" no puedes elegirla otra vez
                      1. Así que tu primera elección tiene 16 posibilidades, y tu siguiente elección tiene 15 posibilidades, después 14, 13, etc. Y el total de permutaciones sería: 16 × 15 × 14 × 13 ... = 20,922,789,888,000
                        1. Pero a lo mejor no quieres elegirlas todas, sólo 3 de ellas, así que sería solamente: 16 × 15 × 14 = 3360
                          1. Es decir, hay 3,360 maneras diferentes de elegir 3 bolas de billar de entre 16.
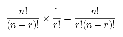
                            1. ¿Pero cómo lo escribimos matemáticamente? Respuesta: usamos la "función factorial"
                              1. Así que si quieres elegir todas las bolas de billar las permutaciones serían: 16! = 20,922,789,888,000
                                1. Pero si sólo quieres elegir 3, tienes que dejar de multiplicar después de 14. ¿Cómo lo escribimos? Hay un buen truco... dividimos entre 13!...
                  2. Combinación
                    1. No tiene orden
                      1. Repetición
                        1. Monedas en un bolsillo "500, 500, 200, 100, 50, 50"
                          1. banana, chocolate, limón, fresa y vainilla. Puedes tomar 3 paladas. ¿Cuántas variaciones hay?
                            1. Y para dejarlo claro: hay n=5 cosas para elegir, y eliges r=3 de ellas. El orden no importa, ¡y sí puedes repetir!
                              1. Imagina que el helado está en contenedores, podrías decir "sáltate el primero, después 3 paladas, después sáltate los 3 contenedores siguientes" ¡y acabarás con 3 paladas de chocolate!
                                  1. Ahora puedes escribirlo como: (la flecha es saltar, el círculo es tomar)
                                      1. OK, entonces ya no nos tenemos que preocupar por diferentes sabores, ahora tenemos un problema más simple para resolver: "de cuántas maneras puedes ordenar flechas y círculos"
                                      2. Como los ejemlos anteriormente dados:
                                        1. OK, entonces ya no nos tenemos que preocupar por diferentes sabores, ahora tenemos un problema más simple para resolver: "de cuántas maneras puedes ordenar flechas y círculos"
                                          1. Fíjate en que siempre hay 3 círculos (3 paladas de helado) y 4 flechas (tenemos que movernos 4 veces para ir del contenedor 1º al 5º)
                                            1. Así que (en general) hay r + (n-1) posiciones, y queremos que r de ellas tengan círculos
                                              1. Esto es como decir "tenemos r + (n-1) bolas de billar y queremos elegir r de ellas". Es decir, es como el problema de elegir bolas de billar, pero con números un poco distintos.
                                                  1. Es interesante pensar que podríamos habernos fijado en flechas en vez de círculos, y entonces habríamos dicho "tenemos r + (n-1) posiciones y queremos que (n-1) tengan flechas", y la respuesta sería la misma...
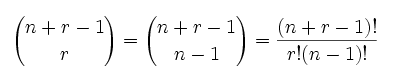
                                                      1. ¿Qué pasa con nuestro ejemplo, cuál es la respuesta?
                              2. Sin Repetición
                                1. Números de lotería "33, 2, 14, 15 ,27"
                                  1. Sólo tenemos que ajustar nuestra fórmula de permutaciones para reducir por las maneras de ordenar los objetos elegidos (porque no nos interesa ordenarlos):
                                      1. Así que recuerda, haz las permutaciones, después reduce entre "r!" ... o mejor todavía... ¡Recuerda la fórmula!
                                Show full summary Hide full summary

                                Similar

                                SAMPLING
                                Elliot O'Leary
                                CUMULATIVE FREQUENCY DIAGRAMS
                                Elliot O'Leary
                                TYPES OF DATA
                                Elliot O'Leary
                                FREQUENCY TABLES: MODE, MEDIAN AND MEAN
                                Elliot O'Leary
                                HISTOGRAMS
                                Elliot O'Leary
                                Pythagorean Theorem Quiz
                                Selam H
                                Statistics Key Words
                                Culan O'Meara
                                Geometry Vocabulary
                                patticlj
                                GROUPED DATA FREQUENCY TABLES: MODAL CLASS AND ESTIMATE OF MEAN
                                Elliot O'Leary
                                Algebra 2 Quality Core
                                Niat Habtemariam
                                The SAT Math test essentials list
                                lizcortland