null
US
Sign In
Sign Up for Free
Sign Up
We have detected that Javascript is not enabled in your browser. The dynamic nature of our site means that Javascript must be enabled to function properly. Please read our
terms and conditions
for more information.
Next up
Copy and Edit
You need to log in to complete this action!
Register for Free
3414957
อัตราส่วนตรีโกณมิติ
Description
ผลงานนักเรียน
No tags specified
www.google.com
www.mathbyme.weebly.com
www.yahoo.com
Mind Map by
Bubee Mathkku
, updated more than 1 year ago
More
Less
Created by
supaporn somparn
about 10 years ago
Copied by
Bubee Mathkku
about 10 years ago
116
0
0
Resource summary
อัตราส่วนตรีโกณมิติ
1. sine A ไซน์ของมุม a หรือเขียนย่อว่า sin A
2. cos A โคไซน์ของมุม A หรือเขียนย่อว่า cos A
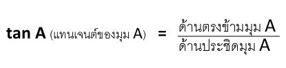
3. tangent A แทนเจนต์ หรีอเขียนย่อว่า tan A
6. cosecant A โคซีแคนต์ของมุม A หรือเขียนย่อว่า cosec A
4. cotangent A โคแทนเจนต์ของมุม A หรือเขียนย่อว่า cot A
5. secant A ซีแคนต์ของมุม A หรือย่อว่า sec A
Media attachments
5d671fc3-6d85-421e-95fe-92803cb99c1d (image/jpg)
862493eb-9d0d-40de-a73f-3dd517bdf5f5 (image/jpg)
18db3e92-486c-4d98-baac-bd1e98d38110 (image/jpg)
4defe213-76bf-4a9f-b4b5-a3233d808eef (image/jpg)
daa5b6bd-72f5-4396-962d-40a70c79560d (image/jpg)
a58692c6-06c9-458f-a4d7-8dc0e8c85368 (image/jpg)
Show full summary
Hide full summary
Want to create your own
Mind Maps
for
free
with GoConqr?
Learn more
.
Similar
อัตราส่วน สัดส่วน และร้อยละ
Pawadee Chaiyasa
แบบทดสอบประกอบการเรียนรู้เรื่องความหมายและการเขียนเซต
kanokporn nunkaew
สมบัติของการเท่ากันของจำนวนจริง
Pawadee Chaiyasa
อสมการพหุนาม
Bubee Mathkku
ไข้เลือดออก
Panaporn Romyen
เลขโรมัน
supatharaporn.1524
ประเทศไทยจะได้ประโยชน์อะไรจาก AEC (ประชาคมเศรษฐกิจอาเซียน)
Pawadee Chaiyasa
ประเทศไทยจะได้ประโยชน์อะไรจาก AEC
plaifa sangsooK
ประเทศสมาชิกอาเซียน
kanokporn nunkaew
ประเทศไทยจะได้ประโยชน์อะไรจากAEC
jomjam buddee
การวางแผนดูแลสุขภาพของตนเองและครอบครัว
plaifa sangsooK
Browse Library