Modulo 1 Física de Ondas y Fluidos

Description

Mi evidencia
Julieta Macías
Mind Map by Julieta Macías, updated more than 1 year ago
Julieta Macías
Created by Julieta Macías about 10 years ago
57
0

Resource summary

Modulo 1 Física de Ondas y Fluidos
  1. Tema 1 Fluidos en Reposo
    1. Presión y principio de Pascal
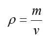
      1. Densidad
        1. Presion
          1. La multiplicación de la densidad de un material y la constante de gravedad da como resultado un peso específico, que representaremos con la letra D
          2. Principio de Pascal
            1. la presión aplicada a un fluido encerrado se transmite sin disminución a todas las partes del fluido y las paredes del recipiente
          3. Flotación y principios de Arquímedes
            1. si un cuerpo está parcial o totalmente sumergido en un fluido, éste ejerce una fuerza hacia arriba sobre el cuerpo igual al peso del fluido desplazado por el cuerpo
              1. Fuerza de flotación
                1. se puede calcular como la masa del objeto por la gravedad; nos interesa el peso de ése volumen de fluido que fue desplazado; la fuerza de flotación (o fuerza boyante) B es entonces:
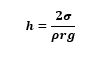
              2. Tensión superficial y capilaridad
                1. la fuerza neta sobre una molécula dentro del volumen del líquido es cero, pero una molécula en la superficie es atraída hacia el volumen.
                  1. Capilaridad
                    1. la cual es la capacidad del fluido de subir por un tubo capilar (de diámetro muy pequeño).
                2. Tema 2 Dinámica de Fluidos
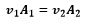
                  1. Ecuación de continuidad
                    1. Flujos
                      1. Laminar
                        1. Flujo laminar es el movimiento de un fluido en el que cada partícula del fluido sigue la misma trayectoria (al pasar por un punto en particular) que la seguida por las partículas que la precedieron
                        2. Turbulento
                          1. movimiento de un fluido que se da en forma caótica, en que las partículas se mueven desordenadamente y las trayectorias de las partículas se encuentran formando pequeños remolinos aperiódicos
                        3. ecuación de continuidad para fluidos incompresibles:
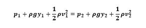
                        4. Ecuación de Bernoulli
                          1. el trabajo neto realizado sobre un elemento de fluido por la presión del fluido circundante es igual al cambio en la energía cinética más el cambio en la energía potencial gravitacional
                            1. Teorema de Torricelli:
                            2. Fluidos no ideales
                              1. Viscocidad
                                1. es fricción interna en un fluido. Las fuerzas viscosas se oponen al movimiento de una porción de un fluido en relación con otra
                                2. Turbulencia
                                  1. flujo caótico que cambia con el tiempo y no es estable,
                                  2. Número de Reynolds
                                    1. Cuando un fluido lleva una pequeña velocidad en un conducto, al inicio el flujo es laminar, bastante regular y predecible;
                                3. Tema 3 Vibración
                                  1. Movimiento Armónico Simple
                                    1. Movomiento Periódico
                                      1. Se mueve de un lado a otro La trayectoria del movimiento es fija Regresa a cada posición Regresa a cada velocidad En un intervalo de tiempo definido
                                      2. Fuerza directamente proporcional al desplazamiento Fuerza en dirección opuesta al desplazamiento
                                        1. Velocidad Angular
                                          1. cuyo símbolo es la letra griega , y su unidad es el radián por segundo que se representa con el símbolo rad/s, es la rapidez con la que cambia el ángulo .
                                            1. La relación entre la frecuencia angular y la frecuencia f está dada por la fórmula:
                                          2. Ecuaciones de Movimiento
                                            1. Velocidad
                                              1. Acelaración
                                                1. Posición
                                                2. Fenómenos de Onda
                                                  1. Resorte
                                                    1. Pendulo
                                                  2. Tema 4 Ondas
                                                    1. Ondas en reposo y resonancia
                                                      1. Perturbación
                                                        1. Transversal
                                                          1. La perturbación se puede propagar en dirección transversal a la vibración de cada partícula del cuerpo como en el caso de una cuerda.
                                                          2. Longitudinal
                                                            1. La perturbación se puede propagar en dirección longitudinal a la vibración de cada partícula del cuerpo como en el caso de un resorte.
                                                          3. Los sismos y su relación con las ondas
                                                            1. Transversarles
                                                              1. Estas ondas producen esfuerzos de compresión; también son llamadas de tipo .
                                                              2. Ondas Rayleigh
                                                                1. Estas ondas se propagan en forma parecida a las olas del mar. Su velocidad es menor que la de las ondas <s> (transversales).
                                                                2. Ondas Love
                                                                  1. Estas ondas se propagan en forma horizontal con esfuerzo cortante.
                                                                  2. Longitudinales
                                                                    1. Estas ondas producen esfuerzos de compresión; también son llamadas de tipo .
                                                                  3. Ondas Sonoras
                                                                    1. Sonido
                                                                      1. es una onda mecánica longitudinal que se propaga a través de un medio elástico. Para que subsista un sistema de sonido deben existir dos factores: FUENTE DE VIBRACIÓN MECÁNICA MEDIO ELÁSTICO
                                                                      2. Fuente de vibración
                                                                        1. La fuente de vibración puede ser cualquier objeto que produce sonido: instrumentos musicales, vibraciones mecánicas en elementos mecánicos como motores, turbinas, ventiladores, etc.
                                                                        2. Tubo
                                                                          1. Abierto
                                                                            1. Cerrado
                                                                        3. Tema 5 Sonido
                                                                          1. Velocidad del Sonido
                                                                            1. Aire y Mar
                                                                              1. Varilla
                                                                                1. Sólido extendido
                                                                                  1. Fluido
                                                                                    1. Gas
                                                                                      1. Gas Ideal
                                                                                      2. Efecto Doppler
                                                                                        1. Características del sonido
                                                                                          1. Sonido Audible
                                                                                            1. Intensidad Sonora
                                                                                              1. Umbral del dolor
                                                                                                1. Umbral de Audicion
                                                                                                  1. bel B
                                                                                                    1. decibel dB
                                                                                                      1. Tono
                                                                                                        1. Pulsaciones
                                                                                                          1. Timbre

                                                                                                        Media attachments

                                                                                                        Show full summary Hide full summary

                                                                                                        Similar

                                                                                                        Evaluación Diagnostica Física Grado Décimo. Docente Hoover Cajas (09-09-2019)
                                                                                                        HOOVER 6zjk6 CAJAS DAZA
                                                                                                        Tarea 1 - La Naturaleza de la Electricidad
                                                                                                        Paula Andrea
                                                                                                        Aplicaciones de la biofísica
                                                                                                        Estefania Orrego
                                                                                                        Autoevaluacion Modulo1
                                                                                                        Ma. Guadalupe Roque
                                                                                                        Mecànica
                                                                                                        Rafel Juanola
                                                                                                        Penisola balcanica: fisica
                                                                                                        Siria Giacomelli
                                                                                                        ¿Algún proceso vital involucra electricidad? | Actividad II - Física.
                                                                                                        Joseline Paola Mar Fernández
                                                                                                        Leyes del movimiento
                                                                                                        Pablo Salgado
                                                                                                        ECONOMÍA Y SU RELACION CON OTRAS CIENCIAS
                                                                                                        David Zepeda
                                                                                                        Silogismos
                                                                                                        asdffg erts