Metodo de Eliminacion Gauss - Jordan

Description

MAPA MENTAL SOBRE METODO DE ELIMINACION GAUSS - JORDAN
Daniel Alberto Acevedo Higuita
Mind Map by Daniel Alberto Acevedo Higuita, updated more than 1 year ago More Less
Andrey  Puentes
Created by Andrey Puentes over 8 years ago
carlos soto
Copied by carlos soto over 6 years ago
Daniel Alberto Acevedo Higuita
Copied by Daniel Alberto Acevedo Higuita over 3 years ago
3
0

Resource summary

Metodo de Eliminacion Gauss - Jordan
  1. QUE ES ?
    1. En matematicas, la eliminacion de Gauss - Jordan, llamda asi debido a Carl Friedrich Gauss y Willhelm Jordan, es un algoritmo de algebra lineal para determinar las soluciones de un sistema de ecuaciones lineales, tambie para encontrar matrices diversas. Un sistema de ecuaciones se resuelve por el metodo de Gauss cuando se obtienen soluciones mediante la reduccion del sistema dado a otro equivalente en el que cada ecuacion tiene una incognita menos que la anterior
      1. ANTECEDENTES El metodo de eliminacion de Gauss Jordan aparace en el capitulo ocho del imporntante texto matematico chino Jiuzhang suanshu o los nueve capitulos sobre el arte matematico. Su uso se ilustra en dieciocho problemas, con dedos a cinco ecuaciones. La primera referencia al libro por este titulos date del 179 D.C., pero algunas de sus partes fueron escritas tan pronto como alrededor del 150 a. C.
        1. EL ANALISIS DE SU COMPLEJIDAD La complejidad computacional de la eliminacion Guassiana es de aproximadamente N a la 3 Lo que significa el numero de operaciones que se necestian en el caso de que la matriz sea de n x n.
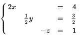
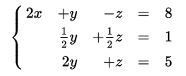
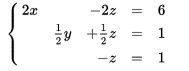
        2. EJEMPLOS
          1. ALGORITMO DE ELIMINACION: 1. Ir a la columna no cero extrema izquierda, 2. Si la primera fila tiene un cero en esta columna, intercambiarlo con otra que no lo tenga, 3. Luego obtener cerso debajo de este elemento delantero, sumando multiplos adeacuados del renglon superior a los renglones debajo de el, 4. Cubrir el renglon superior y repetir con el resto de los renglones, 5. Comenzando con el ultimo renglon no cero, avanzar hacia arriba: para cada renglon obtener un 1 delantero e introducir cerors arriba de este sumando multiplos correspondientes a los renglones correspondientes
            1. Supongamos que es necesario encontrar los numeros X Y Z que satisfacen simultaneamente, entonces esto es llamado "sistemas lineales de ecuaciones" . Debemos saber que el objetivo es el de reducir el sistema a otro equivalente, que tenga las mismas soluciones. Entonces las operaciones son:
            2. OTRAS FORMAS
              1. Dos formas especiales de matrices son la escalonada y la escalonada reducida. Una matriz puede tener las siguientes propiedades: 1. Todas las filas 1 estan enla parte inferior de la matriz, 2. El elemento delantero de cada fila diferente de cero, este es llamado "PIVOTE", estos estan a la derecha del elemento delantero de la fila anterior (esto supone que todos los elementos debajo de un pivote son cero); si una matriz A cumple con esas propiedades, se dice escalonada. Además, cumpliendo estas otras condiciones, decimos que la matriz se encuentra en la forma reducida de renglón escalón o tan solo. Cuando una matriz representa a un sistema de ecuaciones situaciones como tener una columna de ceros parece imposible ya que correspondería a una variable que nunca habría aparecido. Sin embargo esta situación puede presentarse (imaginemos la ecuación de un plano en el espacio en la que no aparece alguna de las componentes, por ejemplo y+z=5). Así la matriz
              2. OTRAS APLICACIONES DEL METODO
                1. Es posible usar la eliminación gaussiana para encontrar inversas de matrices n × n. Para ello se aumenta la matriz dada, digamos A con una matriz identidad, simplemente escribiendo las filas de la identidad a continuación de las de nuestra matriz A, por ejemplo dada:
                  Show full summary Hide full summary

                  Similar

                  FUNCIONES MULTIVARIABLES
                  Jarumy cecilia Sánchez Hernández
                  Diapositivas de Topología de Redes
                  lisi_98
                  Fase 5. Evaluar. Sustentar el diseño de modelo de propagación. MAPA DE RFID
                  Miller Suárez López
                  TEORIA DESCRIPCION DE LA FORMA
                  Stiven Ramirez
                  Construcción de software
                  CRHISTIAN SUAREZ
                  Proceso de Simulación
                  Jesus Javier
                  Ingenieria Social
                  Diego Gutierrez
                  Dibujo de ingeniería
                  Felipe Granada
                  Competencias Laborales de un Ingeniero en Diseño de Entretenimiento Digital
                  Daniel Giraldo
                  Modelos de Gestión de Inventarios en Cadenas de Abastecimiento
                  Rubén Darío Martínez Lira
                  Mapa conceptual "Vientos"
                  Muñoz Rey Antonio