null
US
Sign In
Sign Up for Free
Sign Up
We have detected that Javascript is not enabled in your browser. The dynamic nature of our site means that Javascript must be enabled to function properly. Please read our
terms and conditions
for more information.
Next up
Copy and Edit
You need to log in to complete this action!
Register for Free
4379143
Promedios
Description
Primera evaluación de promedios. Interiorización de definiciones y ejemplos.
No tags specified
matematica
examen
mapa mental
promedios
Mind Map by
ernestohuamani
, updated more than 1 year ago
More
Less
Created by
ernestohuamani
almost 10 years ago
248
0
0
Resource summary
Promedios
Definición
Valor representativo de un conjunto de cantidades.
clases
Aritmético
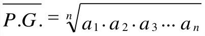
Geométrico
Armónico
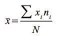
Ponderado
Aplicación
Estadística
Economía
Psicología
Inversión
Media attachments
ee4bd555-1547-4a1a-8ccb-e142e007b2c7 (image/jpg)
d6ceb88d-afcf-407e-917e-c725c29d0324 (image/jpg)
0a3f019f-34a3-46e3-81e9-cf6659c3b0cb (image/jpg)
b49f5b2c-f34f-441c-ba28-91a5b7ef875d (image/jpg)
da333859-b366-489d-98e6-2d8ca0636a86 (image/jpg)
61cf011c-f384-4e93-999f-f3306f31ff9f (image/jpg)
fe063337-1f05-4b55-9df2-2f2bafb40444 (image/jpg)
a8e890e5-bed2-4fbb-a12f-8a9518809fbe.gif (image/gif)
55c946fe-8c14-420f-afbe-aa2ac212494a.gif (image/gif)
Show full summary
Hide full summary
Want to create your own
Mind Maps
for
free
with GoConqr?
Learn more
.
Similar
HERRAMIENTAS PARA EL CALCULO MATEMATICO EN LA ACTUALIDAD.
jessica caipe
LOGARITHMS
pelumi opabisi
Meteorologia II
Adriana Forero
Navegacion
Adriana Forero
atoms and elements
Danoa400
Mapa Mental Planificación estratégica
Verny Fernandez
Mapa Conceptual
Julio Perez
Sociología de la educación, ¿qué es?
elizabeth mon.
Mapa Conceptual
Dayana Diaz
TEORIAS CONTEMPORANEAS
karen lorena miranda rojas
Mapa Conceptual
natalia forteza
Browse Library