Matrices por bloques

Description

Mapa mental matrices por bloques
Liizbeth Juárez
Mind Map by Liizbeth Juárez, updated more than 1 year ago
Liizbeth Juárez
Created by Liizbeth Juárez almost 10 years ago
3787
0

Resource summary

Matrices por bloques
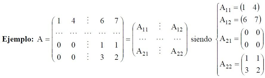
  1. En algunas situaciones es necesario manejar las matrices como bloques de matrices más pequeñas, estas son llamadas submatrices y después multiplicar bloque por bloque en vez de componente por componente
    1. La multiplicación por bloques eses muy similar a la multiplicación de matrices.
    2. Operaciones
      1. Multiplicación por escalares
        1. El caso de multiplicación de una matriz por bloques por un escalar no ofrece dificultad ya que todo bloque, independientemente de su tamaño, se puede multiplicar por cualquier número.
        2. Suma de matrices por bloques
          1. Para poder sumar dos matrices por bloques, es necesario no sólo que sean matrices del mismo tamaño sino también que estén divididas en bloques de la misma forma de tal manera que bloques correspondientes sean del mismo tamaño y se puedan sumar.
          2. Producto de matrices por bloques
            1. Para hallar el producto AB de dos matrices por bloques se puede usar la regla usual de “fila por columna” siempre que el número de bloques en cada “fila de bloques” de A sea igual al número de bloques en cada “columna de bloques” de B y además que los bloques en esa fila de bloques de A sean compatibles para multiplicaci
            2. Regla columna por fila
              1. Sean a1, . . . , an las columnas de A y sean b1, . . . , bn las filas de B. Entonces el producto matricial a1b1 es una matriz con tantas filas como A y tantas columnas como B.
            Show full summary Hide full summary

            Similar

            Operaciones con Matrices
            Liizbeth Juárez
            "TIPOS DE MATRICES"
            Liizbeth Juárez
            Matrices
            Alex Burden
            Matrix Algebra - AQA FP4
            kcogman
            Linear Algebra Quiz
            Clint Givens
            Conceptualización de vectores, matrices y determinantes
            Laura Isabella Moreno Herrera
            CLASIFICACIÓN DE LAS MATRICES
            Karen Rdz
            Cálculo de determinantes
            yess yess
            Introduction to Linear Algebra
            SITI NUR SYAFIQAH NORDIN