Investigación de Operaciones II

Description

Un mapa mental donde se describen la programación con objetivos múltiples, los modelos de toma de decisiones, las cadenas de Markov, los modelos de control de inventarios, las líneas de espera y los modelos de simulación.
Viviana Gomez
Mind Map by Viviana Gomez, updated more than 1 year ago
Viviana Gomez
Created by Viviana Gomez over 9 years ago
95
0

Resource summary

Investigación de Operaciones II
  1. Programación con objetivos múltiples
    1. ¿Para que sirve?
      1. Proporciona una manera racional de alcanzar varios objetivos de manera simultánea, porque jerarquiza y pondera cada uno de los objetivos.
      2. Objetivo
        1. Minimizar la suma ponderada de las desviaciones de las diferentes funciones objetivo de sus metas respectivas.
        2. Tipos de metas a conseguir
          1. Meta unilateral inferior
            1. Estable un límite inferior, del cual no se desea disminuir más.
            2. Meta unilateral superior
              1. Establece un límite superior, del cual no se desea exceder.
              2. Meta bilateral
                1. Estable un rango de cual no se desea propasar en ninguno de los sentidos.
              3. Modelo con un sólo objetivo
                1. La función objetivo no depende de las diferentes ecuaciones objetivo, ya que busca conseguir la misma meta.
                  1. Normalmente poseen sólo restricciones ordinarias.
                  2. ¿Qué es una función objetivo?
                    1. La función objetivo es aquella posee la solución al problema. Si se trata de un modelo con un sólo objetivo entonces la función objetivo, puede reconocerse como una ecuación objetivo. Si se trata de un modelo con objetivos múltiples la función objetivo dependerá de las diferentes ecuaciones objetivo.
                    2. ¿Qué es una ecuación objetivo?
                      1. Se utilizan en los modelos con objetivos múltiples y sirven para representar las diversas metas que se llevan a cabo dentro del mismo modelo.
                      2. Modelo con objetivos múltiples
                        1. Existen 2 tipos de restricciones funcionales
                          1. Restricciones ordinarias
                            1. Ecuaciones objetivo
                            2. Sin prioridades
                              1. ¿Qué es?
                                1. Se consideran los objetivos a través de un procedimiento secuencial, con un orden jerárquico.
                                2. ¿Cuál es el objetivo?
                                  1. En este caso se busca minimizar pero al seguir el orden jerárquico de mayor prioridad a menor.
                                  2. Todas las metas tienen una importancia comparable, por lo que pueden ser comparados simultáneamente.
                                  3. Con prioridades
                                    1. ¿Qué es?
                                      1. Se consideran todos los objetivos de manera simultánea.
                                      2. ¿Cuál es el objetivo?
                                        1. Minimizar una función ponderada de las variables de desvío
                                        2. Procedimiento
                                          1. Los objetivos de diferente nivel de prioridad no pueden ser comparados simultáneamente.
                                            1. Se resuelve mediante una secuencia de modelos de programación lineal. Lo que implica que al pasar de un nivel jerárquico a otro las restricciones ordinarias se convertirán en ecuaciones objetivo.
                                        3. Solución de modelos con la computadora
                                          1. Programación lineal
                                            1. La programación lineal supone una relación proporcional entre los niveles de actividad y la medida global de desempeño.
                                              1. Los modelos de programación lineal y programación entera son modelos lineales, es decir, todas sus funciones que intervienen son lineales (sumas, restas o productos de un número y una celda cambiante).
                                                1. Se solucionan con funciones de Suma, Resta y SumProduct.
                                                2. Programación no lineal
                                                  1. Si el modelo de programación lineal tiene por lo menos una fórmula no lineal para una celda de salida (como la celda meta), entonces se conoce como modelo de programación no lineal.
                                                    1. La programación no lineal con frecuencia aporta una mayor precisión que la programación lineal al análisis de los problemas administrativos.
                                                      1. Se soluciona con un modelo rutinario de hoja de cálculo y la aplicación de Excel Solver
                                                        1. Se usa para modelar las relaciones no proporcionales entre los niveles de actividad y la medida global de desempeño.
                                                    2. Modelos de toma de decisiones
                                                      1. Análisis de decisiones
                                                        1. El análisis de decisiones plantea un marco de referencia y una metodología para una toma racional de decisiones cuando los resultados son inciertos.
                                                          1. Terminología
                                                            1. Tomador de decisiones
                                                              1. Individuo o grupo que tiene la responsabilidad de tomar la decisión.
                                                              2. Alternativas
                                                                1. Opciones que hay que tomar en cuenta para decidir.
                                                                2. Estado de la naturaleza
                                                                  1. Son las posibles situaciones que se ven determinadas por factores aleatorios.
                                                                  2. Probabilidades previas
                                                                    1. Estimaciones de que ocurra un estado de naturaleza.
                                                                    2. Pagos
                                                                      1. Medida cuantitativa de valor para el tomador de decisiones de las consecuencias del resultado.
                                                                      2. Tabla de pagos
                                                                        1. Tabla donde se encuentran las estimaciones de pagos para cada una de las combinaciones de una alternativa de decisión y un estado de la naturaleza.
                                                                      3. Criterios de decisión
                                                                        1. Sin probabilidades
                                                                          1. Criterio Maximax
                                                                            1. Elige siempre la alternativa de decisión que puede dar el mayor pago posible.
                                                                              1. Ignora las probabilidades previas.
                                                                                1. Procedimiento
                                                                                  1. 1. Identifica el pago máximo de cualquier estado de la naturaleza para cada alternativa de decisión.
                                                                                    1. 2. Encuentra el máximo de estos pagos máximos y elige la alternativa de decisión correspondiente.
                                                                                2. Criterio Maximin
                                                                                  1. Elige siempre la alternativa de decisión que proporciona la mejor garantía para su menor pago posible.
                                                                                    1. Ignora las probabilidades previas.
                                                                                      1. Procedimiento
                                                                                        1. 1. Identifica el pago mínimo de cualquier estado de la naturaleza para cada alternativa de decisión.
                                                                                          1. 2. Encuentra el máximo de estos pagos mínimos y elige la alternativa de decisión correspondiente.
                                                                                    2. Con probabilidades
                                                                                      1. Criterio de máxima oportunidad
                                                                                        1. Supone que el estado de la naturaleza más probable es el que ocurrirá, y elige de acuerdo con ello.
                                                                                          1. Ignora todos los pagos, excepto el del estado de la naturaleza más probable.
                                                                                            1. Procedimiento
                                                                                              1. 1. Identificar el estado de la naturaleza con la mayor probabilidad previa.
                                                                                                1. 2. Elegir la alternativa de decisión que tenga el mayor pago para este estado de la naturaleza.
                                                                                            2. Regla de decisión de Bayes
                                                                                              1. Ignora la posibilidad de pérdidas grandes.
                                                                                                1. Ofrece pagos mayores a largo plazo que cualquier otro criterio.
                                                                                                  1. Procedimiento
                                                                                                    1. 1. Para cada alternativa se calcula el Pago Esperado (PE)
                                                                                                      1. PE= Suma total de(Pago "n") x (Probabilidad previa "n")
                                                                                                        1. 2. Elegir la alternativa con el mayor PE.
                                                                                              2. Árboles de decisiones
                                                                                                1. Analiza y muestra el problema de forma gráfica.
                                                                                                  1. Terminología
                                                                                                    1. Ramas
                                                                                                      1. Líneas que salen de los nodos.
                                                                                                      2. Nodos
                                                                                                        1. Puntos de unión.
                                                                                                          1. Tipos de nodos
                                                                                                            1. Nodo de decisión
                                                                                                              1. Debe tomarse una decisión. Se representan con un cuadrado.
                                                                                                              2. Nodo de evento
                                                                                                                1. Es cuando ocurre un evento aleatorio. Se representa con un círculo.
                                                                                                          2. Análisis de sensibilidad
                                                                                                            1. Se estudia para estudiar el efecto de que algunos de los números incluidos en el modelo matemático no sean correctos.
                                                                                                              1. Procedimiento
                                                                                                                1. 1. La suma de las probabilidades debe ser =1
                                                                                                                  1. 2. Se delimitan los límites extremos superior e inferior de probabilidad.
                                                                                                                    1. 3. Se utilizan diferentes valores de prueba de la probabilidad previa, dentro del rango de los límites.
                                                                                                                      1. Si la variación en el margen de decisión es alto, se considera sensible.
                                                                                                                2. Tablas de datos
                                                                                                                  1. Es un análisis de sensibilidad sistemático en el que se precisan intervalos de valores. Así en una tabla se muestran los resultados de ciertas celdas de salida para diversos valores de prueba.
                                                                                                                3. Valor esperado de la información perfecta (VEIP) y muestra (VEIM)
                                                                                                                  1. VEIP= PE(con IP) - PE (sin info)
                                                                                                                    1. Si C mayor a VEIP no conviene obtener más información.
                                                                                                                    2. VEIM= PE(con +info) - PE(sin + info)
                                                                                                                      1. Si C menor a VEIM se debe realizar otro estudio.
                                                                                                                4. Cadenas de Markov
                                                                                                                  1. Definición
                                                                                                                    1. Es una sucesión de ensayos similares donde cada ensayo tiene el mismo número finito de resultados posibles. Así mismo la probabilidad de cada resultado depende sólo del resultado del ensayo inmediatamente precedente y no de cualquier resultado previo.
                                                                                                                    2. Propiedad
                                                                                                                      1. El estado en t + 1 sólo depende del estado en t y no de la evolución anterior del sistema.
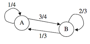
                                                                                                                      2. Matriz de transición
                                                                                                                        1. Definición
                                                                                                                          1. Los elementos de la matriz de transición representan las probabilidades de que en el próximo ensayo el estado del sistema del partido indicado a la izquierda de la matriz cambie al estado del partido indicado arriba de la matriz.
                                                                                                                              1. Los círculos A y B se denominan nodos y representan los estados del proceso, las flechas que van de un nodo a si mismo o al otro son los arcos y representan la probabilidad de cambiar de un estado al otro.
                                                                                                                                  1. Información probabilistica representada en una matriz
                                                                                                                          2. Calculo de la siguiente probabilidad
                                                                                                                            1. En un solo paso
                                                                                                                              1. Simplemente se elige el valor que representa los casos que buscamos dentro de nuestra matriz de transición.
                                                                                                                              2. En varios pasos
                                                                                                                                1. 1. A toda la matriz se le realiza el calculo de los "m" pasos que se quieren hacer al realizar una potencia según el valor de "m"
                                                                                                                                  1. 2. Se elige el valor que representa los casos que buscamos dentro de nuestra matriz de transición.
                                                                                                                              3. Calculo en estado estable
                                                                                                                                1. Un estado estable es cuando no hay cambios en el sistema y se considera que se ha llegado a un equilibrio.
                                                                                                                                  1. Se puede obtener iterando o por medio de sistemas de ecuaciones.
                                                                                                                                    1. Se debe agregar al sistema de ecuaciones la función p.ej. x + y+ z=1, que representa que la suma de las probabilidades de todas las incógnitas es igual a 1.
                                                                                                                                2. Ecuaciones de Chapman-Kolmogorov
                                                                                                                                  1. Es una identidad de las densidades de transición. Lo que supone es una marginalización, donde se tiende al infinito positivo o negativo para conocer las coordenadas del proceso que se está llevando en las cadenas de Markov.
                                                                                                                                  2. Estados
                                                                                                                                    1. Transitorios
                                                                                                                                      1. Cuando entra a un estado y no vuelve a ese mismo estado.
                                                                                                                                      2. Recurrentes
                                                                                                                                        1. Cuando entra a un estado y puede volver a ese mismo estado.
                                                                                                                                        2. Absorbentes
                                                                                                                                          1. Sólo si no cambia de estado, que se da cuando Pij=1
                                                                                                                                      3. Modelos de control de inventarios
                                                                                                                                        1. ¿Qué es un inventario?
                                                                                                                                          1. Mantener productos disponibles para que los consuman los clientes.
                                                                                                                                          2. Administración científica de inventarios
                                                                                                                                            1. Es una herramienta para obtener ventajas competitivas.
                                                                                                                                              1. Pasos
                                                                                                                                                1. 1. Formular modelo matemático
                                                                                                                                                  1. 2. Buscar política de inventario óptima (minimizar el costo de inventario total por tiempo unitario)
                                                                                                                                                    1. 3. Utilizar Sistema de procesamiento de información
                                                                                                                                                      1. 4. Observar cómo reponerlo
                                                                                                                                              2. Demanda e Inventarios
                                                                                                                                                1. ¿Qué es la demanda en un inventario?
                                                                                                                                                  1. Es el número de unidades que se deberán retirar del inventario durante un tiempo específico para un uso específico.
                                                                                                                                                  2. Con demanda conocida
                                                                                                                                                    1. Es cuando se puede pronosticar con precisión considerable la demanda en los periodos futuros.
                                                                                                                                                  3. Componentes de costo
                                                                                                                                                    1. Tipos
                                                                                                                                                      1. Costo de adquisición
                                                                                                                                                        1. Costo unitario fijo
                                                                                                                                                          1. Descuento por cantidad
                                                                                                                                                          2. Costo de preparación
                                                                                                                                                            1. Costos administrativos para iniciar la reposición de inventario (incluido costo indirecto)
                                                                                                                                                            2. Costo de mantenimiento
                                                                                                                                                              1. Costo de capital comprometido, gasto en espacio, protección, seguro e impuestos de almacenamiento.
                                                                                                                                                                1. Si se utiliza descuento por cantidad la unidad mantenida NO es fija.
                                                                                                                                                                2. Costo por faltante
                                                                                                                                                                  1. Entran muchos pedidos que no se satisfacen con el inventario actual.
                                                                                                                                                              2. Estimación de costos
                                                                                                                                                                1. Cuando el costo unitario de adquisición es
                                                                                                                                                                  1. Fijo: NO se incluye en el costo anual de inventario.
                                                                                                                                                                    1. Variable: Se incluye en el costo anual de inventario.
                                                                                                                                                                  2. Modelo básico de inventarios EOQ (Cantidad de pedido económico)
                                                                                                                                                                    1. Supuestos
                                                                                                                                                                      1. 1. Tasa de demanda constante
                                                                                                                                                                        1. 2. La cantidad del pedido llega toda a la vez cuando se desea.
                                                                                                                                                                          1. 3.No se permiten faltantes planeados.
                                                                                                                                                                      2. Punto de reorden
                                                                                                                                                                        1. Es el nivel de inventario en el que se coloca el pedido. Se calcula: Punto de reorden = (demanda diaria) x (tiempo de entrega)
                                                                                                                                                                        2. Se debe llevar el registro del nivel de inventario actual para conocer cuándo se llega al punto de reorden, porque el modelo sólo brinda una aproximación.
                                                                                                                                                                          1. Sistema de revisión continua
                                                                                                                                                                            1. Sistema de revisión periódica (semanalmente)
                                                                                                                                                                            2. Inventario de seguridad
                                                                                                                                                                              1. Es la diferencia entre el punto de reorden y la demanda esperada durante el tiempo de proceso programado. Protege de retrasos en la entrega.
                                                                                                                                                                              2. Objetivo
                                                                                                                                                                                1. Elegir la cantidad de pedido que resulte más económica.
                                                                                                                                                                                  1. Crea un patrón de dientes de sierra, ya que supone que no existen los faltantes.
                                                                                                                                                                                  2. Procedimiento
                                                                                                                                                                                    1. Minimizar TVC = Costo variable total de inventario al año.
                                                                                                                                                                                      1. TVC = Costo anual por ordenar + costo anual por mantener
                                                                                                                                                                                        1. NO hay costo de producto, porque se supone que es fijo.
                                                                                                                                                                                          1. NO hay costo por faltante, porque se supone que no existen faltantes.
                                                                                                                                                                                  3. Líneas de espera
                                                                                                                                                                                    1. Teoría de colas
                                                                                                                                                                                      1. La teoría de colas es el estudio de la espera en todas las situaciones que se pueda presentar.
                                                                                                                                                                                      2. Modelo de colas
                                                                                                                                                                                        1. Los modelos de colas se usan frecuentemente para determinar cuánta capacidad de servicio se debe ofrecer a una cola para evitar esperas excesivas.
                                                                                                                                                                                          1. Las fórmulas de cada modelo indican cómo se debe desempeñar el sistema de colas correspondiente.
                                                                                                                                                                                          2. Asignación de nombres
                                                                                                                                                                                          3. Sistema de colas
                                                                                                                                                                                            1. Son sistemas que implican hacer cola de cualquier tipo.
                                                                                                                                                                                              1. Elementos
                                                                                                                                                                                                1. Clientes
                                                                                                                                                                                                  1. Son los que llegan a recibir un servicio. (Personas, vehículos, máquinas, etc.)
                                                                                                                                                                                                  2. Cola
                                                                                                                                                                                                    1. Fila de espera
                                                                                                                                                                                                      1. #clientes en cola, es el tamaño de cola. #clientes en el sistema, incluye además los clientes que están siendo atendidos.
                                                                                                                                                                                                      2. Finita: se considera cuando la capacidad de la cola puede llegar a un máximo.
                                                                                                                                                                                                        1. Infinita: cuando se puede mantener un número ilimitado de clientes.
                                                                                                                                                                                                          1. Disciplina de la cola
                                                                                                                                                                                                            1. Orden en que se selecciona a los miembros de la cola para ser atendidos.
                                                                                                                                                                                                              1. PEPS. primero en entrar, primero en ser atendido.
                                                                                                                                                                                                                1. UEPS. último en entrar, primero en ser atendido. (en procesos con máquinas)
                                                                                                                                                                                                              2. Servidores
                                                                                                                                                                                                                1. Son los que dan el servicio.
                                                                                                                                                                                                                2. Llegadas
                                                                                                                                                                                                                  1. Existe una alta variación en el tiempo de llegadas de cada cliente, pero se pueden conocer datos como:
                                                                                                                                                                                                                    1. Tasa media de llegadas (#esperado de llegadas por unidad de tiempo) = #clientes/#hrs
                                                                                                                                                                                                                      1. Forma de distribución de probabilidad = 1/tasa media de llegadas
                                                                                                                                                                                                                      2. Tipos de llegadas
                                                                                                                                                                                                                        1. Cuando los clientes llegan aleatoriamente se considera que los tiempos de llegadas tienen una distribución exponencial.
                                                                                                                                                                                                                          1. La propiedad markoviana o propiedad de falta de memoria es cuando la probabilidad de una llegada en el siguiente minuto no esté incluida por el momento en el que ocurrió la anterior.
                                                                                                                                                                                                                            1. GI=Distribución general independiente de tiempos entre llegadas.
                                                                                                                                                                                                                          2. Servicio
                                                                                                                                                                                                                            1. Sistema con servidores múltiples
                                                                                                                                                                                                                              1. Sistema con un sólo servidor
                                                                                                                                                                                                                                1. Tiempo de servicio
                                                                                                                                                                                                                                  1. En los modelos se supone que la distribución de la probabilidad es independiente del servidor que ofrece el servicio.
                                                                                                                                                                                                                                    1. (1/mu)= Tiempo esperado de servicio
                                                                                                                                                                                                                                      1. Así mu representa el número esperado de servicios completados por unidad de tiempo de un solo servidor continuamente ocupado.
                                                                                                                                                                                                                                      2. Tipos de distribuciones
                                                                                                                                                                                                                                        1. Exponencial o markoviana (M)
                                                                                                                                                                                                                                          1. Es más fácil de analizar, pero no tan asertiva como en el calculo de llegadas.
                                                                                                                                                                                                                                          2. Degenerativa (D)
                                                                                                                                                                                                                                            1. Supone tiempos constantes de servicio o con pequeñas variaciones.
                                                                                                                                                                                                                                            2. Erlang
                                                                                                                                                                                                                                              1. Es el punto intermedio entre la distribución exponencial y degenerativa.
                                                                                                                                                                                                                                              2. General (G)
                                                                                                                                                                                                                                                1. Permite cualquier distribución arbitraria.
                                                                                                                                                                                                                                        2. Ejemplos
                                                                                                                                                                                                                                          1. Sistemas de Servicios Comerciales
                                                                                                                                                                                                                                            1. Una organización de negocios proporciona un servicio a clientes externos a la organización.
                                                                                                                                                                                                                                            2. Sistemas de Servicio Interno
                                                                                                                                                                                                                                              1. Los clientes que reciben el servicio son parte de la organización que proporciona el servicio.
                                                                                                                                                                                                                                              2. Sistemas de Servicio de Transporte
                                                                                                                                                                                                                                                1. Implica la transportación, de modo que los clientes o los servidores son vehículos.
                                                                                                                                                                                                                                          2. Modelos de simulación
                                                                                                                                                                                                                                            1. Definición
                                                                                                                                                                                                                                              1. Por medio de una computadora se imitar o simula la operación de todo un proceso o sistema.
                                                                                                                                                                                                                                                1. Se utiliza frecuentemente para realizar análisis de riesgo en procesos financieros, en los que se imitan repetidas veces la evolución de las transacciones. También para analizar sistemas de operación con duración indefinida.
                                                                                                                                                                                                                                                2. La simulación es una herramienta que utilizan los miembros de la administración científica para desarrollar un diseño o procedimiento de operación para algún sistema.
                                                                                                                                                                                                                                                  1. La mayor parte del tiempo para sistemas escolástico, es un sistema que evoluciona con el tiempo de acuerdo con una o más distribuciones probabilísticas.
                                                                                                                                                                                                                                                3. Procedimiento
                                                                                                                                                                                                                                                  1. 1. Análisis preliminar para desarrollar un diseño burdo del sistema.
                                                                                                                                                                                                                                                    1. 2. Se experimenta con diseños específicos en la simulación para estimar el desempeño.
                                                                                                                                                                                                                                                      1. 3. Se desarrolla y elige un diseño detallado.
                                                                                                                                                                                                                                                        1. 4. Se prueba el sistema en la realidad para afinar el diseño definitivo.
                                                                                                                                                                                                                                                  2. Números aleatorios
                                                                                                                                                                                                                                                    1. Es un número entre 0 y 1, cada posible número dentro de este intervalo tiene la misma probabilidad de ocurrir. Así, es una observación aleatoria de una distribución uniforme entre 0 y 1.
                                                                                                                                                                                                                                                    2. Números pseudoaleatorios
                                                                                                                                                                                                                                                      1. Del primer número se comienza una secuencia para ir generando los siguientes números aleatorios.
                                                                                                                                                                                                                                                        1. Excel. Para generar números aleatorios se utiliza la función Rand y se selecciona el área donde se desea que aparezcan los números.
                                                                                                                                                                                                                                                      2. Simulación Montecarlo
                                                                                                                                                                                                                                                        1. Proporciona soluciones aproximadas a problemas matemáticos con muestreos de números pseudoaleatorios en una computadora. El método es aplicable a cualquier tipo de problema, ya sea estocástico o determinista.
                                                                                                                                                                                                                                                          1. Procedimiento de la computadora
                                                                                                                                                                                                                                                            1. 1. El software coloca el modelo dentro de un volumen conocido.
                                                                                                                                                                                                                                                              1. 2. Genera un punto aleatorio del interior del volumen conocido y registra si el punto ha caído dentro del volumen establecido.
                                                                                                                                                                                                                                                                1. 3. Repite el procedimiento miles o millones de veces.
                                                                                                                                                                                                                                                                  1. 4. Realiza un cálculo donde se origina la proporción de los que cayeron dentro del modelo en comparación a todos los que fueron lanzados.
                                                                                                                                                                                                                                                            2. Procedimiento
                                                                                                                                                                                                                                                              1. 1. Identificación del sistema complejo
                                                                                                                                                                                                                                                                1. 2. Detección de una situación de toma de decisiones
                                                                                                                                                                                                                                                                  1. 3. Identificación de la variable aleatoria y su espacio de muestreo
                                                                                                                                                                                                                                                                    1. 4. Recolección de datos de la variable aleatoria
                                                                                                                                                                                                                                                                      1. 5. Identificación de la función de probabilidad o construcción del cuadro de frecuencias absolutas y relativas.
                                                                                                                                                                                                                                                                        1. 6. Construcción de la función de probabilidad acumulada
                                                                                                                                                                                                                                                                          1. 7. Determinación o construcción del cuadro d ella transformada inversa de la función de probabilidad acumulada.
                                                                                                                                                                                                                                                                            1. 8. Generación de un número aleatorio
                                                                                                                                                                                                                                                                              1. 9. Simulación de un valor aleatorio específico de la variable aleatoria mediante el cálculo con la sustitución del número aleatorio en la transformada inversa de la función de probabilidad acumulada o con la asignación del mismo en el cuadro de la función de probabilidad acumulada.
                                                                                                                                                                                                                                                          Show full summary Hide full summary

                                                                                                                                                                                                                                                          Similar

                                                                                                                                                                                                                                                          Programación Lineal. Métodos
                                                                                                                                                                                                                                                          Yemine Vargas