Carbohydrates, Glycolysis/Gluconeogenesis, and TCA

Description

Regulation and steps of glycolysis, gluconeogenesis, and TCA cycle as well as characteristics and structures of basic carbohydrates
Aten Chee
Mind Map by Aten Chee, updated more than 1 year ago More Less
Sarah Emslie
Created by Sarah Emslie almost 10 years ago
Aten Chee
Copied by Aten Chee about 9 years ago
16
0

Resource summary

Carbohydrates, Glycolysis/Gluconeogenesis, and TCA
  1. Carbohydrates
    1. Have generic formula Cn(H20)n
      1. Functions
        1. Energy source and storage
          1. Structural component
            1. Informational molecules in cell-signaling
            2. Structures to know
              1. Glyceraldehyde

                Annotations:

                • Triose sugar
                1. Ribose

                  Annotations:

                  • 5 carbon sugar, aldose, all OH's on the right
                  1. Mannose

                    Annotations:

                    • C2 epimer of glucose
                    1. Glucose
                      1. Galactose

                        Annotations:

                        • C3 epimer of glucose
                        1. Fructose

                          Annotations:

                          • ketose sugar
                          1. Maltose
                            1. Cellobiose
                              1. Lactose
                                1. Sucrose
                                  1. Cellulose

                                    Annotations:

                                    • polymer of cellobiose
                                    1. Chitin
                                      1. Starch

                                        Annotations:

                                        • has alpha 1-->6 brances every 20 residues
                                        1. Glycogen

                                          Annotations:

                                          • Branching alpha 1-->6 linkages about every 10 residues This allows rapid mobilization of glucose when needed
                                      2. Glycolysis
                                        1. Glucose is good fuel, can be stored in polymeric form
                                          1. Versatile biochemical precursor
                                            1. Can be stored as starch or glycogen
                                              1. Short term energy needs met by glycolysis
                                                1. Pentose phosphate pathway generates NADPH
                                                  1. Structural polysaccharides made from glucose
                                                    1. Hexokinase
                                                      1. Phosphohexose Isomerase
                                                        1. Phosphofructokinase
                                                          1. Aldolase
                                                            1. Triose Phosphate Isomerase
                                                              1. GAP Dehydrogenase
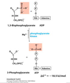
                                                                1. Phosphoglycerate Kinase
                                                                  1. Phosphoglycerate Mutase
                                                                    1. Enolase
                                                                      1. Pyruvate Kinase
                                                                        1. Acetyl CoA and TCA Cycle
                                                                          1. Lactate (anaerobic respiration)
                                                                            1. Fermentation (alcohols)
                                                          2. Key regulatory steps: 1, 3, 10 these steps are irreversible and have different enzymes in gluconeogenesis
                                                            1. Occurs mainly in the muscle and brain
                                                            2. TCA
                                                              1. Pyruvate dehydrogenase complex

                                                                Annotations:

                                                                • Made up of E1 (pyruvate dehydrogenase), E2 (dihydrolipoyltransacetylase), and E3 (dihydrolipoyldehydrogenase). They are associated together to help prevent intermediates from being diffused away.
                                                                1. Citrate synthase
                                                                  1. Aconitase
                                                                    1. Isocitrate dehydrogenase
                                                                      1. a-Ketoglutarate dehydrogenase
                                                                        1. Succinyl-CoA Synthetase
                                                                          1. Succinate Dehydrogenase
                                                                            1. Fumarase
                                                                              1. Malate dehydrogenase
                                                                2. 3 key steps are 2, 4, and 5
                                                                  1. Anaplerotic reactions replenish the cycle
                                                                    1. Channels reactants back into TCA
                                                                  2. Regulation
                                                                    1. One reaction in a pathway is almost always irreversible
                                                                      1. Fatty acids can NOT be used for gluconeogenesis
                                                                        1. Gluconeogenesis occurs mainly in the liver and kidneys
                                                                          1. Steps 1,3, and 10 of gluconeogenesis are different than glycolysis
                                                                            1. Very expensive but necessary since the brain, nervous system, and blood cells can only generate ATP from glucose
                                                                              1. Lactate can be recycled in the liver and reoxidized to pyruvate which can be used in gluconeogenesis
                                                                                1. When glycolysis is turned on, gluconeogenesis is off, and vice versa
                                                                                  1. When energy is low (large [AMP]) cell goes into glycolysis, when energy is high (large[ATP]) the cell goes into gluconeogenesis
                                                                                    1. Muscles consume glucose for energy production, liver maintains blood glucose homeostasis by removing or producing glucose depending on conditions
                                                                                      1. Insulin
                                                                                        1. Released from pancreas in response to increased glucose in blood
                                                                                        2. Glucagon
                                                                                          1. Released by pancreas in response to low blood glucose
                                                                                            1. Active on liver and adipose tissue but NOT muscle and brain
                                                                                              1. Epinephrine works on liver and muscles
                                                                                              2. Stimulates liver to release glucose from glycogen stored in blood
                                                                                              3. Regulation of fructose 2,6-bisphosphate
                                                                                                1. Fructose 2,6-bisphosphate is formed by PFK-2 and not formed by FBPase 2, F26BP inhibits FBPase-1 and gluconeogenesis and activates PFK-1 and glycolysis in high concentrations, activates FBPase-1 and gluconeogenesis and inactivates glycolysis in low concentrations

                                                                                              Media attachments

                                                                                              Show full summary Hide full summary

                                                                                              Similar

                                                                                              CARBOHYDRATES & SUGARS
                                                                                              Eleanor H
                                                                                              Carbohydrates
                                                                                              Julia Romanów
                                                                                              Photosynthesis and Respiration
                                                                                              Jessica Phillips
                                                                                              Biology AQA 3.1.3 Cells
                                                                                              evie.daines
                                                                                              Biology AQA 3.2.5 Mitosis
                                                                                              evie.daines
                                                                                              Biology AQA 3.1.3 Osmosis and Diffusion
                                                                                              evie.daines
                                                                                              Biology- Genes, Chromosomes and DNA
                                                                                              Laura Perry
                                                                                              Biology- Genes and Variation
                                                                                              Laura Perry
                                                                                              Enzymes and Respiration
                                                                                              I Turner
                                                                                              GCSE AQA Biology - Unit 2
                                                                                              James Jolliffe
                                                                                              GCSE AQA Biology 1 Quiz
                                                                                              Lilac Potato