null
US
Sign In
Sign Up for Free
Sign Up
We have detected that Javascript is not enabled in your browser. The dynamic nature of our site means that Javascript must be enabled to function properly. Please read our
terms and conditions
for more information.
Next up
Copy and Edit
You need to log in to complete this action!
Register for Free
6854475
FACTORIZACIÓN
Description
MAPA SOBRE 7 TIPOS DE FACTORIZACION
No tags specified
7 tipos de factorización
factorización
álgebra
primero
Mind Map by
Shey Molinå
, updated more than 1 year ago
More
Less
Created by
Shey Molinå
about 9 years ago
87
0
1
Resource summary
FACTORIZACIÓN
*Factorización es la operación opuesta a la multiplicación. Factorizar una expresión significa escribirla como un producto de tras expresiones.
*FACTOR COMÚN MONOMIO.
Este es l caso de factorización más sencillo, consiste en buscar un factor común y dividir todo por ése factor.
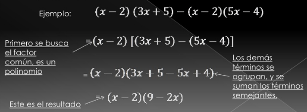
*FACTOR COMÚN POLINOMIO
Éste caso se parece al factor común monomio pero el factor común es un binomio
*FACTOR COMÚN POR AGRUPACIÓN
En ésta factorización se necesit cuatro o más términos y se agrupan de la mejor forma para factorizar.
*DIFERENCIA DE CUADRADOS PERFECTOS
Ésta factorización es de dos términos los cuales son cuadrados perfectos. Solamente se puede factorizar la diferencia de ellos.
*DIFERENCIA DE CUBOS PERECTOS
La factorización de la diferencia de cubos es el factorizar dos términos los cuales son cubos perfectos.
*SUMA DE CUBOS PERFECTOS
Ésta factorización es igual a la de la diferencia de cuadrados, lo único que cambia es el signo de la respuesta.
*TRINOMIO CUADRADO PERFECTO
En ésta factorización se necesitan tres términos los cuales se verifican para no confundir qué método de factorización usar.
Media attachments
b2f819fc-8046-4f1d-87b3-bb63f1ba315e.PNG (image/PNG)
e07faeaa-c2b6-41ad-b4d2-0b20138d1293.PNG (image/PNG)
fdfb2bce-a62b-412f-9d0b-08326b743a47.PNG (image/PNG)
0e9f566b-e63f-4cb8-bbe5-812c03f802da.PNG (image/PNG)
e8b0eff6-8929-4ba2-b26f-9d0b596abbe7.PNG (image/PNG)
a3e4856d-bbe3-4e34-92d5-e522a4b3ffff.PNG (image/PNG)
74d79186-db27-4b3c-888e-9daaf28a3c37.PNG (image/PNG)
Show full summary
Hide full summary
Want to create your own
Mind Maps
for
free
with GoConqr?
Learn more
.
Similar
Algebra
Alex Maraio
Substitution Steps
Selam H
Guía de estudio Álgebra
VICTOR MANUEL ANDRADE
Equation of a Line
faheemanwar1
El lenguaje de los ordenadores
Fernando Martínez Moya
Elimination Steps
Selam H
Números Complejos Juan Francisco G.
Juanfra Guderian
Conceptos básicos de álgebra
SEBASTIAN URCID ROBREDO
Hallando raíces de ecuaciones de segundo grado
Viviana Múnera
Algebra 1
c4m3ront_2001
Algebra 2 Revision
c4m3ront_2001
Browse Library