null
US
Sign In
Sign Up for Free
Sign Up
We have detected that Javascript is not enabled in your browser. The dynamic nature of our site means that Javascript must be enabled to function properly. Please read our
terms and conditions
for more information.
Next up
Copy and Edit
You need to log in to complete this action!
Register for Free
7191697
Hipérbola
Description
Mapa mental de Hipérbola
No tags specified
mate
hiperbola
ejes
segundo
Mind Map by
Marco Tulio Sanchez del Rosario
, updated more than 1 year ago
More
Less
Created by
Marco Tulio Sanchez del Rosario
almost 9 years ago
102
0
0
Resource summary
Hipérbola
hipérbola equilátera
es la que tiene sus asíntotas (A1 y A2) perpendiculares entre sí, o, dicho de otra manera, cuando forman un ángulo con cada eje de 45º.
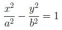
Ecuacion de la hiperbola
i la hipérbola tiene centro en el origen es
Un ejemplo de si la hiperbola esta en el centro
Media attachments
a337140d-1cb4-4175-9696-67398b299909 (image/jpg)
ec675419-583d-47a3-9e9c-5955160dd129 (image/jpg)
0b996241-c0c2-4002-a6ed-27fa599acf37 (image/jpg)
Show full summary
Hide full summary
Want to create your own
Mind Maps
for
free
with GoConqr?
Learn more
.
Similar
Números Complejos
Julieta Maya
Funciones
Lilia Berman
Priporočeno predznanje
MojcaGoConqr Premuš
Ecuaciones de Segundo Grado
pediericx
ANUALIDADES ANTICIPADAS
MONICA BAY
Planimetria anatomica
luna espitia
Elipse
Marco Tulio Sanchez del Rosario
Funciones de segundo grado
ralro18
Area de un poligono
Adriana Cortes Hernández
PARALELISMO
Adriana Cortes Hernández
Matemáticas II
Victor Treviño
Browse Library