SISTEMA LINEAR ESCALONADO

Description

Descreve SISTEMA LINEAR ESCALONADO e as operações elementares sobre os sistemas lineares.
Rony Dias
Note by Rony Dias, updated more than 1 year ago
Rony Dias
Created by Rony Dias over 11 years ago
848
1

Resource summary

Page 1

   SISTEMA LINEAR ESCALONADO

DEFINIÇÃO.

Um sistema linear é dito ESCALONADO ou na FORMA ESCADA se, e somente se: Todas as equações apresentam as incógnitas numa mesma ordem; Em cada equação existe pelo menos um COEFICIENTE, de alguma incógnita, NÃO NULO; Exite uma ordem para as equações tal que, de uma equação para outra, AUMENTA o número de COEFICIENTES NULOS que ANTECEDEM o primeiro coeficiente não nulo.

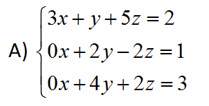
EXEMPLO:

CONTRAEXEMPLO:

Existem APENAS dois tipos de sistema linear escalonado: 1° TIPO: com o número de EQUAÇÕES IGUAL ao NÚMERO DE INCÓGNITAS; 2° TIPO: com o número de EQUAÇÕES MENOR que O NÚMERO DE INCÓGNITAS.

PROPRIEDADES: TODO SISTEMA LINEAR ESCALONADO DO 1° TIPO É POSSÍVEL E DETERMINADO. TODO SISTEMA LINEAR ESCALONADO DO 2° TIPO É POSSÍVEL E INDETERMINADO.

Todo sistema linear escalonado do 2° tipo ADMITE pelo menos uma variável que pode assumir QUALQUER VALOR REAL e, por isso, é chamada de VARÁVEL LIVRE ou VARIÁVEL ARBITRÁRIA do sistema. Chama-se GRAU DE INDETERMINAÇÃO de um sistema escalonado do 2° tipo o NÚMERO DE VARIÁVEIS LIVRES do sistema. Esse número é a DIFERENÇA ENTRE O NÚMERO DE VARÁVEIS E O NÚMERO DE EQUAÇÕES, NESSA ORDEM.

OPERAÇÕES ELEMENTARES SOBRE AS EQUAÇÕES DE UM SISTEMA LINEAR

PERMUTAR entre si duas ou mais equações do sistema linear; MULTIPLICAR uma equação do sistema linear por uma constante k não nula; SUBSTITUIR uma equação de um sistema linear pela soma, membro a membro, dessa equação com outra equação do sistema previamente MULTIPLICADA por uma constante real k.

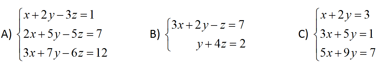
AGORA, RESOLVA OS SISTEMA ABAIXO, USANDO O MÉTODO DE ESCALONAMENTO.

Nova página

DEFINIÇÃO

EXEMPLO

RESOLUÇÃO DE UM SISTEMA LINEAR ESCALONADO

NOTA

Show full summary Hide full summary

Similar

Tabuada
Alessandra S.
Matemática Básica
Alessandra S.
Geometria Plana
Bruno Fernandes3682
Como Estudar Matemática
Alessandra S.
Simulado de Matemática
Alessandra S.
Simulado Matemática
Marina Faria
Matemática 9º ano
Carlos Itapecuru
Roteiro de Estudo - Matemática
Luiz Fernando
Plano de estudos ENEM - Parte 2 *Exatas/Biológicas
GoConqr suporte .
Geometria Plana Triângulo
Luiz Antonio Lopes
Matemática - Triângulos
Felipe Perreira