Manuscrito Escrita Publicação Internacional

Description

Recortes para um manuscrito
claudio luiz da silva
Note by claudio luiz da silva, updated more than 1 year ago
claudio luiz da silva
Created by claudio luiz da silva almost 9 years ago
136
0

Resource summary

Page 1

A2 - Atitudes e Motivação na aprendizagem de Inglês como Segunda Língua para alunos do ensino médio. Sayid Dabbagh Ghazviniuma, Milad Khajehpouruma, Roudehen Branch. Este estudo investiga as atitudes e motivações dos estudantes iranianos para aprender inglês. A amostra do estudo consiste em 123 estudantes do sexo masculino e feminino de duas escolas secundárias no segundo ano acadêmico. O instrumento utilizado é um questionário Que compreende 18 itens desenvolvidos para atingir os objetivos do estudo. Os resultados mostraram que as meninas são mais integrativas Motivado e rapaz estudantes são mais instrumental motivado para aprender Inglês. Além disso, as meninas têm mais A atitude para aprender inglês do que os meninos, eles também são mais inclinados para o bilinguismo. No entanto, não há Diferença entre os alunos do ensino médio em orientações motivacionais, enquanto eles têm atitude positiva para aprender Inglês como uma segunda língua. Palavras-chave: Atitude; Motivação instrumental; Motivação integrativa; lingua estrangeira; L2

Page 2

A3 - Melhorando a Produção de Publicações da Faculdade: O Papel de um Treinador de EscritaCLAIRE BALDWIN, MS, * E GENEVIEVE E. CHANDLER, PHD, RN †A publicação de artigos acadêmicos é reconhecida pelo corpo docente, não apenas pelas suas carreiras, mas também pela sua escola na universidade e na disciplina. Embora a escrita seja percebida como uma tarefa crítica e de alta prioridade, ela geralmente tem um baixo comportamento de seguimento. Para facilitar a saída da publicação de nossa faculdade, um ônibus de escrita de meio expediente foi contratado. O modelo de liderança situacional de Blanchard (1985), que alinha o estilo de liderança às necessidades do grupo, indicou um quadro de coaching e apoio que melhor atendesse às necessidades de escrita da faculdade. A universidade sugeriu que uma relação de coaching contínua na forma de uma parceria comprometida capacitaria o corpo . Apresentamos um modelo para mostrar como o coaching e o suporte facilitam a perseverança na escrita para publicação. Dezasseis dos 26 professores procuraram a ajuda do treinador nos primeiros 2,5 anos, gerando 21 subsídios para revistas com críticas mais rigorosas. Quinze destas foram publicadas ou aceitas (71 por cento), e uma ainda estava sob revisão quando este artigo foi escrito. Cinco documentos rejeitados ainda não tinham sido reapresentados. A faculdade com doutorado recente pareceu beneficiar mais do treinamento. (Palavras de índice: Desenvolvimento do corpo docente, Bolsa de estudos, Redação, Coaching, Publicação, Mentoring) J Prof Nurs 18: 8-15, 2002. Copyright © 2002 by W.B. Empresa Saunders

Page 3

A4 - Habilidades cognitivas subjacentes à aquisição de vocabulário de segunda língua em um contexto de ensino de imersão em segunda língua: estudo longitudinal Anne-Catherine Nicolay⇑, Martine Poncelet. Descobriu-se que o desenvolvimento lexical da primeira língua (L1) e da segunda língua (L2) está fortemente associado a habilidades de processamento fonológico, como memória fonológica de curto prazo (STM), consciência fonológica e percepção da fala. O desenvolvimento lexical também parece estar ligado a habilidades atencionais e executivas, tais como atenção auditiva, fl exibilidade e inibição de resposta. O objetivo deste estudo longitudinal de quatro ondas foi determinar em que medida o vocabulário de L2 adquirido através do contexto escolar particular de ensino de imersão em L2 precoce está ligado às mesmas capacidades cognitivas. Um total de 61 crianças francófonas de 5 anos de idade que tinham acabado de se matricular em aulas de imersão em inglês receberam uma bateria de tarefas avaliando essas três habilidades de processamento fonológico e três habilidades de atenção / executivo. Seu conhecimento de vocabulário inglês foi medido 1, 2 e 3 anos escolares mais tarde. As análises de regressão múltipla mostraram que, entre as habilidades de processamento fonológico avaliadas, o STM fonológico e a percepção da fala, mas não a consciência fonológica, pareciam subjacentes à aquisição do vocabulário L2 nesse contexto de um programa de imersão precoce da L2, pelo menos durante as primeiras etapas de aquisição. Da mesma forma, entre as habilidades avaliativas e executivas avaliadas, a atenção auditiva ea flexibilidade, mas não a inibição da resposta, pareciam estar envolvidas durante as primeiras etapas de aquisição do vocabulário L2 nesse contexto escolar de imersão. Palavras-chave: Bilingualismo Ensino de imersão em segunda língua Habilidades fonológicas Funções de atenção Funções executivas Aquisição de vocabulário de segunda língua

Page 4

A5 - Transferência entre línguas em programas de imersão em inglês na Alemanha: LeituraCompreensão e fluência na leituraSandra Kristina Gebauer*, Anna CM Zaunbauer, Jens MöllerDepartamento de Psicologia Educacional, Universidade de Kiel, Alemanha. Os efeitos transfronteiriços sobre as habilidades de leitura são de particular interesse no contexto da língua estrangeiraProgramas de imersão. Embora exista uma extensa literatura sobre os efeitos transfronteiriços na leituraDe investigação, centrando-se nos estudantes de imersão e incluindo diferentes dimensões daComo fluência na leitura e compreensão de leitura é escassa. Este estudo investigouA transferência entre línguas entre fluência de leitura em primeira língua (L1) e segunda língua (L2) e leitura-Compreensão em um grupo de 220 alunos de escolas primárias alemãs que estavam matriculados em inglêsProgramas de imersão parcial. Os alunos foram testados nas 3ª e 4ª séries. A modelação das equaçõesUsado para examinar a transferência de cross-language em um projeto de painel cross-lagged. Os resultados mostraram moderada cross-Para controlar os efeitos autorregressivos. Esses achados estão em linha comResultados mostrando efeitos de transferência recíproca entre L1 e L2 compreensão de leitura e leitura flu-Ency. Além disso, a dominância global dos caminhos de L2 para L1 sobre caminhos de L1 para L2 sugere immer-Específicas que podem ser atribuídas às abundantes oportunidades de leitura acadêmica naL2 na escola. Assim, as competências necessárias para uma leitura bem sucedida podem evidentemente ser adquiridas num contexto L2 eTransferidos para o L1. Estas conclusões sublinham a importância da transferência entre línguas entreEm programas de imersão Palavras-chave:Transferência em várias línguasCompreensão de leituraEscola primáriaEducação em imersãoAquisição de segunda línguaabstrato

Page 5

A6 - Aprendizagem Eficiente de Vocabulário Através de Atividades On-line Marika Kalyuga a *, Lilia Mantai a, Mauricio Marrone. Na atual metodologia de ensino, a instrução de linguagem assistida por computador é considerada uma ferramenta importante que ajuda a estender a educação além da sala de aula e facilita a aprendizagem interativa e individualizada. Este artigo está preocupado com o uso de atividades on-line no ensino de um vocabulário de língua estrangeira. A aprendizagem de vocabulário inclui processos complexos, tais como a aquisição de pronúncias de palavras, significados, bem como suas propriedades estilísticas, morfológicas e sintáticas. Este artigo demonstra como as atividades on-line não só ajudam os alunos a memorizar novas palavras, como também as motivam a praticar o vocabulário de uma língua estrangeira. Estas atividades permitem aos alunos escolher exercícios com diferentes níveis de dificuldade e, portanto, ajustar o material de acordo com suas necessidades. Eles também reúnem vários elementos multimídia essenciais para a aprendizagem de vocabulário, como som, imagens e texto. Palavras-chave: aprendizagem de línguas estrangeiras por computador, aquisição de vocabulário,

Page 6

A7 - Transferência de aprendizagem em contextos de inglês para fins acadêmicos: Uma revisão sistemática da pesquisaMark A. James Departamento de Inglês, Arizona State University, Box 0302, Tempe, AZ 85287-0302, EUA. Um objetivo fundamental da instrução EAP é a transferência de aprendizagem para os outros cursos dos alunos.Embora a investigação tenha fornecido evidências de tal transferência, existem lacunas emCircunstâncias. No entanto, um corpo de pesquisa relacionado, com foco na aprendizagem em contextos de EAP, éDe valor aqui: Embora esta pesquisa não forneça evidência de transferência especificamente paraOutros cursos, fornece evidência de transferência entre situações em contextos de EAP, eA análise desta pode lançar luz sobre a transferência para outros cursos. Portanto, 41 estudosaprendizagem investigada em contextos EAP foram analisados utilizando a taxonomia de transferência ( Barnett& Ceei, 2002 ) (isto é, uma ferramenta analítica 9-dimensão desenvolvida para esclarecer a pesquisa sobre a transferência eaUsado para analisar estudos em psicologia experimental). Esta análise revelou muitoO que é possível para transferência em contextos de EAP, especificamente que (a) instrução pode resultar emTransferência, e essa transferência pode (b) envolver vários tipos de aprendizagem, (c) ter um resultado positivoImpacto sobre a qualidade do trabalho dos alunos, (d) ocorrem em situações queNas memórias dos alunos e em situações que colocam maiores exigências sobre aMemórias, e (e) ocorrem em diferentes distâncias. Implicações para a investigação eEAP contextos são discutidos. Palavras-chave: Inglês para Fins Acadêmicos, EAP, Transferência de aprendizagem, Pedagogia

Page 7

A8 - Nova abordagem na teoria e prática de diagnosticar habilidade para a escrita em Inglês entre profissionais e estudantes universitários de ciências médicas. MSc. Rafael Forteza Fernández1. As deficiências teóricas e práticas no diagnóstico da formação e desenvolvimento da capacidade de escrita em Inglês em maior educação médica são estudados. um novo modelo educacional, a partir da teoria holísticoconfiguracional dos processos sociais, expõe a nova estrutura qualidades, dimensões, ligações e relações objeto transformado é apresentado. Palavras-chave: escrita, diagnóstico, sexo

Page 8

A9 - As relações entre L1 (espanhol) literacy skills, L2 (English) language, L2 textFluência de leitura e compreensão de leitura L2 para ELL de língua espanholaAlunos de graduação. Young-Suk Kim. Nós investigamos as relações de L2 (ou seja, inglês) fluência de leitura oral, fluência de leitura silenciosa, leitura de palavrasAutomatização, habilidades de linguagem oral e habilidades de alfabetização L1 (isto é, espanhol) para L2 compreensão de leitura paraEstudantes de língua inglesa de língua inglesa na primeira série (N = 150). Foi realizada uma análiseAmostra inteira, bem como para leitores de palavras qualificados e menos especializados. Os resultados mostraram que a leitura deTicidade estava fortemente relacionada à fluência de leitura oral e silenciosa, mas a habilidade de linguagem oral não era. Este foi o casoNão só para toda a amostra, mas também para subamostras de leitores de palavras qualificados e menos especializados, o queCrepant de um estudo com crianças Inglês-somente (Kim et al., 2011). No que diz respeito às relaçõesEntre linguagem oral L2, fluência na leitura de textos, automatização da leitura de palavras, compreensão de leitura e L1 lit-Habilidades de relacionamento, os padrões de relações foram semelhantes para leitores de palavras qualificados versus menosFluência, mas diferente com fluência de leitura silenciosa. Quando a fluência de leitura oral e silenciosa estava no modelo si-Simultaneamente, a fluência na leitura oral, mas não a fluência em leitura silenciosa, estava Hension A habilidade de alfabetização L1 das crianças não estava exclusivamente relacionada à compreensãoOutras linguagens L2 e alfabetização. Estes resultados são discutidos à luz de uma teoria do desenvolvimento do textoFluência de leitura. Palavras-chave:Fluência na leitura oralFluência em leitura silenciosaCompreensão de leituraCrianças de línguas minoritáriasAlunos de língua inglesaHabilidades de linguagem oral

Page 9

B1 - Escrevendo um editorial. Peh W C G, Ng K H. Um editorial pode ser escrito pelo editor ou alguém convidado pelo editor. Ele serve para muitos outros propósitos, incluindo críticas de artigos originais publicados na mesma edição da revista, revisões concisas de tópicos que não garantem uma revisão completa convidado e outros tópicos sobre desenvolvimentos muito recentes que são considerados pelo editor para ser Importante para os leitores da revista e da comunidade. Como há tipicamente um espaço limitado no qual entregar seu conteúdo, a mensagem contida no editorial precisa ser bem pensada e concisa. Deve conter a seqüência correta dos elementos do argumento crítico, idealmente apoiados por evidências, e terminar com uma conclusão clara. Palavras-chave: comentário, editorial, escrita médica, opinião, papel científico

Page 10

B2 - Escrevendo um ensaio pictórico. Peh WCG, MD, FRCP, FRCR. RESUMO Um ensaio pictórico é um tipo de artigo educativo que visa fornecer retratos textuais e visuais de uma questão tópica. Consiste geralmente em um breve resumo não estruturado, uma breve introdução, subtítulos para organizar o material e um resumo. O número de referências é limitado a alguns artigos chave, tipicamente, oito a 15, ou menos. O texto é geralmente curto, muitas vezes cerca de 1.000 a 2.000 palavras de comprimento, com grande parte da mensagem contida na figura lendas. Este tipo de artigo permite um grande número de figuras, tipicamente até 20 figuras ou 30 partes da figura. Os principais critérios de publicação são moeda, valor educativo e alta qualidade das ilustrações. Palavras-chave: figuras, ilustrações, escrita médica, ensaio pictórico, papel científico

Page 11

B3 - Algumas regras para escrever artigos médicos para revistas peer-reviewed. Jyoti Shah.Como um apêndice à introdução de Elisabeth sobre estilo e formato para publicação médica, este artigo oferece aos leitores um guia para aperfeiçoar um documento para publicação e aumentar as taxas de aceitação. Um bom artigo é muitas vezes elogiado por colegas, mas um bom escritor deve examinar todos os aspectos do texto para garantir que ele está em conformidade com as exigências de um artigo científico e da revista que ele será apresentado.

Page 12

B4 - Escrita Científica: Estratégias e Ferramentas para Estudantes e Assessores. Vikash Singh † * Philipp Mayer ‡. A escrita científica é uma tarefa exigente e muitos estudantes precisam de mais tempo do que o esperado para finalizar seus artigos de pesquisa. Para acelerar o processo, destacamos algumas ferramentas, estratégias e guias de escrita. Recomendamos iniciar precocemente o processo de pesquisa com a escrita e preparar artigos de pesquisa, não depois, mas paralelamente ao trabalho de laboratório ou de campo. Sugerimos considerar a escrita científica como uma empresa de equipe, que precisa de organização adequada e feedback regular. Além disso, é útil selecionar precocemente os periódicos alvo e considerar não apenas o escopo eReputação, mas também tempos de decisão e taxas de rejeição. Antes da submissão, as instruções aos autores e guias de escrita devem ser consideradas, e os rascunhos devem ser extensivamente revisados. Mais tarde, no processo, o editor e os comentários do revisor devem ser seguidos. Nossas dicas e ferramentas ajudam os alunos e consultores a estruturar o processo de redação e publicação, estimulando-os a desenvolver suas próprias estratégias de sucesso. V C 2014 pela União Internacional de Bioquímica e Biologia Molecular, 42 (5): 405-413, 2014. Keywords: revistas; Publicação; Ferramentas de software; Guias de escrita

Page 13

B5 - Publicação de um Manuscrito científico sobre terapia manual. chaD cook, PT, PhD, MBA, OCS, FAAOMPT1; Jean-michel BRiSmée, PT, ScD, OCS, FAAOMPT2; CaRol couRTney, PT, PhD, FAAOMPT3; MaRk hancock, PT, PhD4; STePhen pode, PT, FCSP, Dip MDT, MSc, PhD5A publicação em revistas avaliadas por pares é a forma de introduzir novas informações que têm implicações clínicas. No entanto, os clínicos podem estar relutantes em embarcar no processo de publicação por causa da falta de confiança ou incerteza sobre o processo. O objetivo deste trabalho é resumir os requisitos desse processo e fornecer dicas para publicação bem-sucedida para encorajar autores clínicos potenciais de artigos de terapia manual. Em geral, os artigos devem contribuir com o conhecimento, corroborar ou contradizer o conhecimento anterior, ou resumir o conhecimento existente. Os artigos devem ser claramente estruturados, com abstract, introdução, métodos, discussão, conclusão e referências; E muitas vezes incluem tabelas e figuras. O conteúdo de cada uma destas seções é descrito. O uso de listas de verificação padronizadas é incentivado e o formato deve obedecer às diretrizes de cada autor da revista. Submissão é eletrônica e tipicamente primeiro o editor ou editor de deputado opiniões para a adequação, a adesão ao formato de revista, e qualidade da escrita. Se considerado adequado, o artigo é enviado para avaliação cegada por dois revisores com experiência nessa área. Revisão geralmente leva 6-8 semanas, e toda a comunicação é através do editor. A decisão é então tomada para aceitar, aceitar com as emendas a ser feitas, rejeitar, mas com o conselho para reenviar, ou rejeitar de imediato. Em qualquer novo envio, os comentários das equipes de revisão devem ser abordados diligentemente, fazendo as mudanças recomendadas ou justificando por que elas não foram adotadas. São dadas razões comuns para a rejeição de artigos. Finalmente, os autores fornecem algumas dicas para publicação para ajudar os leitores com a apresentação bem sucedida de artigos. KeYWords: Terapia Manual, Preparação do Manuscrito, Revisão por Pares, Publicação, Redação Técnica

Page 14

B6 - Pérolas para Publicação Papers Dicas e Truques. Karalikkattil T Ashique e Feroze Kaliyadan1. Com os regulamentos rigorosos de vários órgãos acadêmicos tornando desejável para um pós-graduado residente ter apresentado um artigo original antes da aparição para os seus exames ou aqueles que trabalham em instituições de ensino para ter publicado artigos para reivindicar o crédito para a aplicação de promoções e profissionais privados para aumentar Sua visibilidade na frente acadêmica, papel, todo mundo está em uma série de publicação. Neste artigo, tentamos elucidar os processos envolvidos na publicação; Abordando-o de forma sistemática e prática, incorporando algumas dicas e truques. Esta coleção de pérolas é destinada a servir como um guia para iniciantes de escrita científica e publicações. As pérolas abrangem temas variados como benefícios de publicações, coleta de recursos, várias ferramentas disponíveis e processos técnicos relacionados à forma como um manuscrito é processado. Palavras-chave: Artigos, iniciantes, publicação em papel, escrita científica

Page 15

B7 - Qual revista deve ser escolhida ao enviar um artigo científico? Önder Cangüven. No campo da urologia, muitas novas idéias e habilidades foram desenvolvidas por cirurgiões e pesquisadores. Para compartilhar esse conhecimento ou essas habilidades com colegas, devemos publicar nossas descobertas em artigos de periódicos. Este artigo é uma tentativa de lucidamente transmitir como ir sobre a apresentação de um artigo científico para publicação em um jornal apropriado. Palavras-chave: Autoria; Fator de impacto do jornal; Publicação; escrevendo.

Page 16

B8 - Usando Relatórios de Casos BMJ para promover a publicação de relatos de casos clínicosBlanca San Jose 'MontanoObjetivo: O estudo atualiza e aprimora o conhecimento dos clínicos sobre os relatos de casos clínicos (CCRs) e encoraja a publicação de tais artigos.Métodos: O autor desenvolveu e ofereceu uma sessão sobre os Relatórios de Casos BMJ aos departamentos médico-cirúrgicos do Hospital Universitário de M'ostoles. A sessão analisou os conteúdos e serviços complementares da revista, os indicadores de qualidade convencionais e alternativos da revista, o uso de RACs para compartilhar valiosas lições clínicas e a preparação e submissão de manuscritos.Resultados: O resultado principal dessas sessões foi a submissão de oito CCRs aos Relatórios de Casos BMJ, dos quais quatro foram aceitos. Um autor que apresentou foi convidado para servir como um peer revisor para a revista. Outros clínicos estão preparando cinco novos CCRs para serem submetidos a Relatórios de Casos BMJ ou outros periódicos.Conclusões: As sessões de aprendizagem foram bem-sucedidas na promoção da redação e publicação de CCRs. Os jovens graduados e residentes pareciam especialmente encorajados a publicar CCRs que já haviam sido apresentados em suas sessões departamentais. Como bibliotecário, ganhei experiência na publicação do CCR e reforcei minha posição como um suporte essencial da atividade de ensino e publicação do hospital. Palavras-chave: Relatórios Clínicos de Casos, Bibliotecas de Ciências da Saúde, Bibliotecários em Ciências da Saúde, Publicações, Revistas Científicas, Educação Médica, Educação Médica Contínua.

Page 17

B9 - Dez dicas para autores de artigos científicos. SUNG-TAE HONG. Escrever um artigo científico de boa qualidade requer experiência e habilidade. Proponho "Dez Dicas" que podem ajudar a melhorar a qualidade dos manuscritos para revistas acadêmicas. É aconselhável elaborar a primeira versão do manuscrito e revê-lo repetidamente para a consistência ea precisão da escrita. Durante a elaboração e revisão, as seguintes dicas podem ser consideradas: 1) foco no projeto para ter conteúdo adequado, conclusão, pontos compatíveis com o escopo do periódico alvo, autores apropriados e lista de contribuintes e referências relevantes de fontes amplamente visíveis; 2) formatar o manuscrito de acordo com as instruções aos autores do periódico alvo; 3) assegurar consistência e fluxo lógico de idéias e fatos científicos; 4) proporcionar confiança científica; 5) tornar a sua história interessante para os seus leitores; 6) escrever frases curtas, simples e atraentes; 7) tenha em mente que os títulos devidamente compostos e reflexivos aumentam as chances de atrair mais leitores; 8) não se esqueça de que os resumos bem estruturados e legíveis melhoram a citabilidade de suas publicações; 9) ao revisar aderir à regra de 'primeiro e último' - abrir o texto com o parágrafo do tópico e fechá-lo com parágrafo de resolução; 10) usar palavras de ligação que ligam frases dentro de um parágrafo, repetindo palavras-chave relevantes. Palavras-chave: Comunicação Científica; Artigo Científico; Periódicos como Assunto; Publicação; Dez Dicas

Page 18

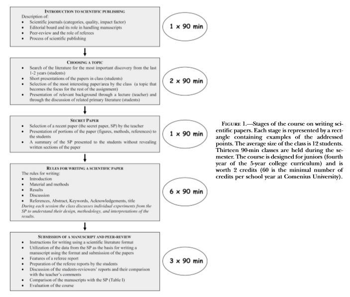
B10 - Ensinando como preparar um manuscrito por meio de reescrever publicações científicas publicadasLubomir Tomaska1O objetivo do curso descrito aqui é treinar estudantes de graduação para escrever um manuscrito científico. Os alunos participam na seleção de um tópico atual em genética contemporânea ou biologia molecular, escolhendo o papel mais interessante de um determinado ano. Após o professor fornecer todos os antecedentes essenciais sobre o tema selecionado, ele ou ela seleciona um artigo recente do campo correspondente e apresenta os alunos com todas as informações necessárias contidas no papel sem revelar o seu título e autor. Os dados apresentados no artigo são revisados ​​pela classe para que cada aluno entenda cada experiência e os principais pontos do trabalho. Simultaneamente, os alunos são informados sobre as regras básicas de escrever as seções individuais de um artigo científico. Eles são então convidados a escrever e apresentar formalmente um manuscrito resumindo os dados. Finalmente, os alunos atuam como revisores dos manuscritos de seus colegas e comparam seus artigos com os artigos originais publicados. Isso lhes permite identificar tanto os pontos fortes quanto as fraquezas de seus manuscritos e obter confiança nas habilidades de escrita que serão tão críticas para suas futuras atividades científicas.

Page 19

B11 - Como escrever artigos que são publicados. As publicações são essenciais para a partilha de conhecimentos e progressão na carreira. Escrever um trabalho de pesquisa é um desafio. A maioria dos programas de pós-graduação em medicina não oferece treinamento prático em escrever e publicar em revistas científicas. Iniciantes encontrar a arte ea ciência da escrita científica uma tarefa assustadora. "Como escrever um artigo científico ?, Existe uma maneira segura de publicação bem-sucedida?" São as perguntas mais frequentes. Este artigo visa responder a essas perguntas e orientar um iniciante através do processo de planejamento, escrita e correção de manuscritos que atraem os leitores e satisfaz os revisores. Um papel bem estruturado em linguagem lúcida e correta que é fácil de ler e editar, e segue estritamente a instrução aos autores dos editores encontra favor dos leitores e evita rejeição pura e simples. Fazer a escolha certa da revista é uma decisão crítica para a aceitação. Perseverança através do processo de revisão pelos pares é o caminho para a publicação bem sucedida. Palavras-chave: Escrita médica, Publicação no jornal biomédico, Preparação do manuscrito

Page 20

B12 - Como se tornar um escritor médico competente?Dr Suhasini Sharma.A escrita médica envolve a escrita de documentos científicos de diferentes tipos, que incluem documentos regulamentares e de pesquisa relacionados, literatura médica e educacional sobre doenças ou medicamentos, artigos de publicação como manuscritos e resumos de revistas, conteúdo de sites de saúde, revistas ou artigos de notícias relacionados à saúde. As informações científicas contidas nesses documentos precisam ser apresentadas de acordo com o nível de compreensão do público-alvo, ou seja, pacientes ou público em geral, médicos ou os reguladores. Médicos escritores exigem uma compreensão dos conceitos médicos e terminologia, o conhecimento de orientações relevantes no que diz respeito à estrutura e conteúdo de documentos específicos e boas habilidades de escrita. Eles também precisam estar familiarizados com a pesquisa de literatura médica, compreensão e apresentação de dados de pesquisa, o processo de revisão de documentos e requisitos de edição e publicação. Muitos recursos estão agora disponíveis para escritores médicos para obter a formação necessária na ciência e arte da escrita médica, e atualizar seus conhecimentos e habilidades em uma base contínua. A demanda para a escrita médica está crescendo firmemente no mercado farmacêutico e da comunicação do healthcare. Escritores médicos podem trabalhar de forma independente ou ser empregados como profissionais de tempo integral. Graduados em ciências da vida podem considerar a escrita médica como uma opção de carreira valiosa. Palavras-chave: Escrita médica, Regulamentação, Publicação, Diretrizes técnicas, Competências, Recursos

Page 21

B13 - Como pesquisar, escrever, preparar e publicar os artigos científicos nos periódicos biomédicosIzet Masic academy das ciências médicas da Bósnia e herzegovina, sarajevo, Bósnia e herzegovin Este artigo descreve a metodologia de preparação, escrita e publicação de artigos científicos em revistas biomédicas. Dado é uma visão concisa do conceito e estrutura do Sistema de informação biomédica científica e técnica e da maneira de literatura biomedicável retreival de bases de dados biomédicas em todo o mundo. Descrevem-se as revistas médicas científicas e profissionais que são atualmente publicadas na Bósnia-Herzegovina. Além disso, é dada uma revisão comparativa do número e da estrutura dos artigos publicados em revistas indexadas na Bósnia-Herzegovina,Estão listados no banco de dados Medline. Analisados ​​são três diários B & H indexados na base de dados MEDLINE: Arquivos Médicos (Medicinski Arhiv), Revista Bósnia de Ciências Médicas Básicas e Medical Gazette (Medicinki Glasnik) em 2010. O maior número de artigos originais foi publicado no Arquivo Médico. Há uma diferença estatisticamente significativa no número de artigos publicados por autores locais em relação a revistas internacionais em favor dos Arquivos Médicos. É verdade que o Journal Bosnian Journal of Basic Medical Sciences não categoriza os artigos e não podemos fazer comparações. Journal Medical Archives e Bosnian Journal of Basic Medical Sciences porPercentagem publicou o maior número de artigos de autores de Sarajevo e Tuzla, os dois centros médicos universitários mais antigos e maiores da Bósnia e Herzegovina. O autor acredita que é necessário introduzir alterações qualitativas na recepção e revisão de artigos para publicação em revistas biomédicas publicadas na Bósnia-Herzegovina, que devem ser da responsabilidade de uma autoridade / comissão científica separada composta por peritos no domínio da medicina no nível estadual. Palavras-chave: sistema de informação biomédica científica e de pesquisa, revistas médicas indexadas na Bósnia e na herzegovina.

Page 22

B14 - Diretrizes para a redação de manuscritos sobre pesquisas participativas baseadas na comunidade para revistas com revisão por paresBryan C. Bordeaux, DO, MPH1, Crystal Wiley, MD, MPH1, S. Darius Tandon, PhD1, Carol R. Horowitz, MD, MPH2, Pamela Bohrer Brown3 e Eric B. Bass, MD, MPH1,Resumo Apesar da importância da divulgação dos resultados da pesquisa comunitária participativa (CBPR), as parcerias de saúde comunitária enfrentam muitos desafios para a publicação de seu trabalho. O objetivo deste artigo é apresentar guias práticos para escrever sobre CBPR para aqueles que têm pouca experiência na escrita para publicação ou aqueles que querem ajudar seus parceiros escrever manuscritos fortes para revistas peer-reviewed. O artigo inclui dicas sobre como organizar cada parte de um manuscrito, sugestões sobre como os parceiros podem colaborar na preparação de manuscritos, recomendações sobre como transmitir aspectos únicos do trabalho de uma parceria ao longo de um manuscrito e uma bibliografia anotada de artigos bem-escritos CBPR. Ao compreender como preparar um manuscrito sobre o CBPR para uma revista revisada por pares, os autores devem ser mais eficazes na disseminação de informações que ajudarão outras comunidades a se beneficiar do trabalho de sua parceria. Palavras-chave Investigação participativa baseada na comunidade; desenvolvimento profissional; Manuscritos

Page 23

B15 - Desvantagens de publicar artigos de pesquisa biomédica em inglês para falantes não-nativos de inglêsMohsen Rezaeian Departamento de Medicina Social, Centro de Pesquisa Ambiental Ocupacional, Faculdade de Medicina de Rafsanjan, Universidade de Ciências Médicas de Rafsanjan, Rafsanjan, IrãOBJETIVOS: O inglês tornou-se a língua mais utilizada para a comunicação científica no campo biomédico. Portanto, estudiosos de todo o mundo tentam publicar suas descobertas em inglês. Esta tendência tem uma série de vantagens, juntamente com várias desvantagens. MÉTODOS: Neste artigo, revisam-se as desvantagens mais importantes da publicação de artigos de pesquisa biomédica em inglês para falantes não-nativos do inglês. RESULTADOS: As desvantagens mais importantes da publicação de artigos de pesquisa biomédica em inglês para não-nativos podem incluir: • Olhar de forma não intencional ou mesmo deliberada os problemas de saúde locais mais importantes; Falha em realizar pesquisas inovadoras devido a limitados orçamentos de pesquisa médica; Violando códigos de ética de publicação geralmente aceitos e cometendo má conduta de pesquisa e publicações em scams de acesso livre / revistas predatórias ao invés de revistas de prestígio. CONCLUSÕES: As desvantagens acima mencionadas poderiam eventualmente resultar em estabelecimentos acadêmicos tornando-se irresponsável ou, pior ainda, corrupto. Para evitar isso, cientistas, organizações científicas, instituições acadêmicas e associações científicas em todo o mundo devem projetar e implementar uma gama mais ampla de planos colaborativos e abrangentes. PALAVRAS-CHAVE: Pesquisa biomédica, Redação médica, Idioma inglês, Desvantagens

Page 24

B16 - DECLARAÇÃO DE TRANSPARÊNCIA: PROMOÇÃO DE UMA PUBLICAÇÃO MAIS COMPLETA, HONESTA E ADEQUADA DE ARTIGOS CIENTÍFICOS FerránCatalá-López (1,2), SalvadorPeiró (2,3), BrianHutton (4,5), CristinaPérez Andrés (6) eDavidMoher (4,5) . A pesquisa em saúde é fundamental para a melhoria da saúde da população. O desenvolvimento de pesquisas deve ser uma ação prioritária em qualquer agenda de política de saúde. Embora a publicação científica não seja a última etapa de um processo de pesquisa, ela deve, na verdade, ser essencial como Facilita um debate aberto com a comunidade científica e, em última análise, com a sociedade em geral. O resultado de qualquer investigação pode ser comunicada de várias formas e formatos (reuniões científicas, relatórios, documentos de trabalho, Internet ...). O maior rigor, disseminação e impacto. Dado que a publicação científica dos resultados da investigaçãoA formação sobre o que realmente foi feito e como, o que foi encontrado e, basicamente, avaliar a credibilidade, validade e relevância de quaisquer conclusões alcançadas para tarefas que podem ser importantes para a tomada de decisão em muitos assuntos diferentes relacionados com saúde, saúde pública e saúde Políticas.

Page 25

B17 - CONVERSÃO DE APRESENTAÇÕES EM JORNAL ARTIGOS GUIA PARA ENFERMEIROSTodos os anos, centenas de enfermeiras oferecem apresentações a milhares de herdeiros suaves e colegas em reuniões locais, regionais, nacionais e internacionais. Infelizmente para aqueles de nós não sentados nessas audiências, a maioria das enfermeiras não transformam suas apresentações em artigos publicados. Esta situação sempre me pareceu uma reavaliação para a enfermagem, apenas ampliada nos últimos anos, uma vez que menos empregadores apoiam a enfermagem Em reuniões profissionais.

Page 26

B18 - Estrutura básica e tipos de artigos científicos. Peh W C G, Ng K H.A estrutura básica de um artigo científico é resumida pelo acrônimo IMRAD. Muitos tipos de artigos são publicados em revistas médicas. Estes incluem artigos originais, relatos de casos, notas técnicas, ensaios pictóricos, revisões, comentários e editoriais. Os autores devem estar cientes de que cada tipo de papel é de natureza específica, tem um propósito distinto e é julgado por critérios diferentes. Autores que submetem seu trabalho no formato mais apropriado serão capazes de maximizar seu material e aumentar as chances de aceitação do manuscrito. Palavras-chave: escrita médica, estrutura de papel científico, tipos de papel científicos

Page 27

B19 - ABC da escrita de artigos médicos em inglês Todd H Baron, MD, FASGE. A publicação de artigos médicos em inglês é importante, pois o inglês continua a ser a língua predominante para a maioria dos artigos médicos (tanto eletrônicos como tradicionais). Além disso, as revistas com os maiores fatores de impacto são publicadas em inglês e uma publicação em inglês aumenta a visibilidade dos autores e suas instituições e é importante para promoção em alguns centros acadêmicos. Este artigo revisa os princípios básicos que o ajudarão a publicar com êxito um manuscrito em inglês. Embora outros livros e artigos estejam disponíveis sobre este assunto, existem relativamente poucas referências. O presente artigo baseia-se na experiência deste autor de publicar cerca de 400 artigos em inglês. Ele enfatizará escrever artigos originais, mas os princípios podem ser aplicados a praticamente qualquer tipo de manuscrito. Termos para indexação: Publicação; Escrevendo; Desenho de pesquisa

Page 28

C1 - Práticas Metafuncionais em Artigos de Pesquisa Médica: Um Estudo Comparativo. Nader Assadi1, Mojtaba Ghassemi1 e Alireza Madadi1.O objetivo deste estudo é explorar qualquer possível diferença entre os tipos de verbo escolhidos em artigos escritos em inglês pelos não-nativos e nativos. Ao fazê-lo, utilizou-se a Gramática Funcional Sistêmica de Halliday (1994). 80 artigos publicados do campo de ciências médicas foram escolhidos entre os quais 40 foram escritos por escritores nativos ingleses e 40 por não-nativos. À luz das diretrizes sobre Metafunções Experienciais, os artigos foram analisados. Então a Freqüência de cada tipo comum de verbo foi calculada. Tendo aplicado Chi-Square, os pesquisadores descobriram que os falantes nativos Inglês e não-nativos empregam diferentes tipos de verbos. De acordo com os resultados, os pesquisadores não-nativos da língua inglesa podem introduzir os tipos de verbos com base em suas normas L1. Finalmente, parece necessário que os professores de línguas e os desenvolvedores de materiais ESP tomem em conta tais diferenças enquanto ensinam e adaptam materiais de escrita. Palavras-chave: ESP, gramática sistêmica funcional, halliday, metafunction experiencial

Page 29

C2 - Escrevendo para o leitor: uma abordagem problema-solução. Por TOM MILLER E DEE PARKER. Este artigo foi publicado pela primeira vez no Volume 35, No. 1 (1997).Muito tem sido escrito sobre estratégias para escrever artigos acadêmicos eficazes. Para uma excelente visão geral das questões a serem consideradas ao publicar um artigo acadêmico, recomendamos o artigo de Malcolm Benson no Fórum de abril de 1994. Muito menos tem sido escrito sobre como um foco na estrutura geral do papel pode ajudar o leitor e editor avaliar idéias e produzir artigos mais legíveis. Queremos demonstrar que o formato do artigo eo fluxo de idéias não é arbitrário, mas serve para ajudar o leitor a identificar que tipo de informação pode ser encontrada onde. Seguir certas diretrizes do discurso não só fará um artigo mais fácil de ler, mas, de fato, levantará a possibilidade de que ele será publicado. Para tornar estas idéias mais concretas, vamos nos concentrar na organização problema-solução, que é a estrutura geral mais comum em um Artigo do fórum. Antes de começar o processo de escrita, o autor precisa fazer uma série de perguntas, tais como: Qual é a finalidade do artigo eo que os leitores potenciais já sabem sobre o tema? Responder a estas perguntas pode ajudar o autor a gerar idéias para o artigo e descartar elementos que podem não ser úteis (mais perguntas são fornecidas na Figura 2). Depois de brainstorming suficiente, pode-se considerar escrever uma introdução, que serve, em última instância, tanto o escritor quanto o leitor, ajudando tanto a permanecer na pista. A introdução pode ser considerada como um contrato ou promessa que deve ser honrada no resto do texto.1

Page 30

C3 - METATEXTO EM RESULTADOS E DISCUSSÃO SECÇÕES DE PESQUISA ESL / EFL: UMA ANÁLISE CONTRASTIVA DE PHILIPPINE INGLÊS, TAIWANESE INGLÊS E IRANIANO INGLÊSINTRODUÇÃO Um dos principais conceitos que moldaram a teoria ea prática da instrução de composição em Inglês como Segunda Língua (ESL) é a noção de retórica contrastiva (CR). Como área de pesquisa, CR começou há mais de 40 anos, quando o lingüista norte-americano aplicado, Robert Kaplan, iniciou a atenção às diferenças culturais e linguísticas na escrita de estudantes de ESL (Kaplan, 1966, citado em Connor, Nagelhout & Rozycki, 2008 ). Tal noção sustenta que a linguagem ea escrita são fenômenos culturais; Portanto, os padrões retóricos da linguagem são exclusivos de cada língua e cultura. Além disso, a KaplanVERONICO N. TARRAYOEste artigo examinou a interação entre linguagem e cultura com base nas categorias de metatexto utilizadas pelos escritores em três comunidades de fala: Filipinas, Irã e Taiwan. Especificamente, respondeu aos seguintes subproblemas: (i) Quais categorias de metatexto existem na seção de resultados e discussão de artigos de pesquisa de ESL / EFL escritos em inglês filipino, inglês iraniano e inglês taiwanês ?; (Ii) Em que pontos as categorias de metatexto nas três comunidades de fala são paralelas ou contrastantes ?; E (iii) Que características culturais são reveladas pelo uso de categorias de metatexto nos três ingleses asiáticos? Os dados analisados ​​foram as seções de resultados e discussões de 15 artigos de pesquisa (RAs): ESL RAs representando a variedade PhilippineEnglish foram publicados no TESOL Journal em 2009, e EFL RAs representando ambas as variedades taiwanês-inglês e iraniano-inglês foram da Asian EFL Journal publicado em 2008 e 2009. Dois inter-avaliadores ajudaram na codificação das categorias de metatexto no gênero examinado e na validação dos dados coletados. Freqüência e porcentagem de contagens foram empregadas para examinar o corpus. Os resultados revelaram que a frequência relativa das categorias de pré-visualização e revisão foi mais elevada nas RA inglesas filipinas do que nas RA inglesas de Taiwan e RA inglesas iranianas. Nos três ingleses asiáticos, o número de visualizações foi maior do que o número de revisões. Com relação ao uso de conectores, todos os três ingleses foram construídos sobre a relação de coesão aditiva. Além disso, eles usaram ambos os conectores simples, tais como e, mas, embora, e ainda e suas alternativas complexas, como, além disso, por outro lado, em uma veia similar, e em um sentido semelhante ─ uma preferência por um mais elaborado e Um padrão retórico orientado para a mudança. Além disso, o inglês filipino tinha o maior número de marcadores de ação, assim, implicando a tendência do inglês filipino de ser mais escritor responsável em comparação com o inglês taiwanês eo inglês iraniano. Palavras-chave: Inglês Asiático, Retórica Contrastiva, Cultura, Metatexto, Artigos de Pesquisa, Escrita

Page 32

C5 - Implicações Pedagógicas nas Necessidades Linguísticas dos Estudantes de Medicina. Yanling Hwang.Neste artigo, uma implicação estendida de ensino é realizada com base no estudo das necessidades linguísticas dos estudantes de medicina em Tawian (Hwang, Lin, 2010). Os objetivos do estudo anterior foram fornecer uma descrição das necessidades linguísticas e percepções de estudantes de medicina e membros do corpo docente em Taiwan. No entanto, este trabalho coloca mais pensamentos sobre a aplicação pedagógica dos resultados. O trabalho apresentou implicações de ensino de Inglês médico ou Inglês geral com base em percepções de estudantes de medicina e membros do corpo docente. O estudo estendido relacionado à aplicação do ensino tendeu a responder às seguintes seis questões: (1) o uso da língua inglesa (2) a importância do uso do inglês na área médica (3) Uma análise das necessidades do curso de inglês para a Faculdade de Medicina (5) sugestões sobre o currículo de Inglês para a Faculdade de Medicina e (6) outra assistência ou requisitos identificados pelos alunos. Palavras-chave: Implicações pedagógicas, Ensino de inglês, Necessidades lingüísticas, Campo médico

Page 33

C6 - Possível problematização da transferência de estilo retórico da primeira língua para a língua estrangeira: um caso de autores indonésios escrevendo artigos de pesquisa introduzidos em inglês. Safnil Arsyada e AronobA transferência de estilo retórico de uma primeira língua para uma língua estrangeira pode ser um problema sério na escrita acadêmica, como artigos de pesquisa (RAs). Este estudo tem como objetivo analisar o estilo retórico de indonésio RA introduções em várias disciplinas escritas por autores indonésios e publicado em revistas de investigação indonésia, especialmente sobre as formas autores justificar o seu tópico de investigação e pesquisa e sugerindo problemas potenciais se este estilo é usado quando escrever RA em inglês. Quatrocentos RA escritos em indonésio por falantes indonésios foram selecionados para este estudo de revistas de pesquisa principalmente universitários. As análises foram conduzidas usando um método de análise baseado em gênero, seguindo um problema justificando o modelo de projeto por Safnil [2001. Análise da estrutura retórica de artigos de pesquisa indonésios. Doutor inédito diss., Australian National University, Canberra, Austrália]. Os resultados mostram que: (1) ao contrário dos autores ingleses, os autores indonésios consideram o estabelecimento de conhecimentos básicos compartilhados importantes em suas apresentações de RA, mas não justificando seu projeto de pesquisa; (2) Os autores indonésios justificam o seu tópico de investigação por razões pessoais e rever os conhecimentos e práticas actuais e (3) enquanto alguns usam razões subjectivas e práticas para justificar os seus projectos de investigação, muitos não o justificam. Se os autores indonésios usarem este estilo retórico ao escrever RAs em inglês, isso pode fazer com que o artigo seja rejeitado por revistas internacionais. PALAVRAS-CHAVE Artigo de pesquisa; Seção de introdução; Transferência de estilo retórico; Estabelecimento e ocupação de nichos

Page 34

C7 - Conversa como um cientista! Simples "Quadros" para Scaffold a Linguagem da Ciência. Este artigo compartilha uma estratégia de ensino para os professores de ciências usarem ao apoiar o desenvolvimento da linguagem entre os alunos da língua inglesa. Estudantes de outras origens de línguas que estão aprendendo Inglês precisam aprender tanto conteúdo acadêmico de nível escolar ea linguagem necessária para expressar conceitos científicos. No entanto, a maioria dos professores de ciências não está treinada em estratégias de apoio ao desenvolvimento da língua inglesa. Este artigo é projetado para ser usado por professores e provedores de desenvolvimento profissional para demonstrar uma maneira que desenvolvimento de linguagem pode ser incorporado em uma classe de ciência. Estruturas de linguagem de andaimes através de "quadros de frases" envolve a modelagem do uso apropriado de estruturas comuns de frases em inglês através dos quatro domínios de linguagem de falar, ouvir, ler e escrever. O artigo fornece exemplos de quadros de sentenças relacionados à ciência e instruções passo a passo para seu uso durante uma aula de ciências. Modelar quadros de frases é uma maneira eficaz de demonstrar a construção de frase inglesa apropriada em um contexto incorporado configuração sem exigir discussão explícita de gramática ou regras gramaticais. Não é necessária uma formação linguística especializada para utilizar esta estratégia com êxito, podendo também ser utilizada com a mesma facilidade por professores de outras disciplinas que não a ciência. Estudantes de níveis elementares intermediários até o ensino médio e educação de adultos podem se beneficiar desta estratégia. Frases frames também pode ser útil para os professores a usar com falantes nativos de outros dialetos Inglês que não são classificados como aprendizes da língua inglesa.

Page 35

C8 -

Page 36

C9 - Variação Retórica em Pesquisa Artigo Resumos em Ciência Ambiental e Linguística Aplicada Supachai Saeeaw1 & Supong Tangkiengsirisin. Resumo O resumo é de um gênero fundamental na comunicação científica, não só os leitores altamente seletivos com o julgamento dos artigos pertinentes, mas também os pesquisadores na disseminação de novos conhecimentos e descobertas intelectuais. Difícil, porém, desafiador, no entanto, é uma tarefa de escrever resumos eficazes entre os não falantes de língua inglesa. Este estudo relacionou-se com a mobilidade e o co-caracteriza as características linguísticas comuns que se utilizam em pesquisa ambiental e pesquisa aplicada lingüística artigos resumos. 200 resumos de pesquisa publicados durante os anos de 2010-2013 foram analisados ​​com referência ao quadro analítico de Hyland. A análise de duas camadas revela uma estrutura típica retórica, incluindo um conjunto de características linguísticas associadas a certas informações apresentadas em cada movimento, elucidando como resumos de artigos de pesquisa em ambos os campos são convencionalmente construídos. Com a presença dos cinco movimentos, como estruturas de I-P-M-Pr-C e P-M-Pr-C foram mais prevalentes entre o corpus de ciência ambiental e lingüística aplicada, respectivamente. Todos os movimentos, exceto o movimento de introdução, eram convencionais nas duas disciplinas. As implicações pedagógicas dos achados são úteis para uma instrução acadêmica da leitura e da escrita, permitindo que os professores de línguas habilitem os seus alunos com as estratégias que contribuem para o sucesso do sucesso na publicação académica principal. Palavras-chave: artigo de pesquisa, resumo, ciência ambiental, lingüística aplicada, estrutura retórica, variação disciplinar

Page 37

C10 - Pesquisa Artigo Resumos em Duas Subdisciplinas de Negócios-Mover Estrutura e Hedging entre Gestão e Marketing. Qian Li1 & Issra Pramoolsook1. A importância dos resumos RA reside na sua influência sobre a decisão sobre os leitores sobre o artigo que acompanha vale a pena ler. Vários estudos investigaram uma estrutura de movimentos de resumos e geraram vários modelos influentes. No entanto, poucas pesquisas foram realizadas sobre variações subdisciplinares na estrutura de movimento de resumos. Adicionalmente, estudos anteriores investigaram independentemente uma estrutura de movimento ou uso de hedging de escritos acadêmicos. Uma tentativa de integração dos dois tem faltado ainda. Portanto, este estudo relata uma análise da estrutura de movimentação e uso de hedge em resumos de Gestão e Marketing. Análise comparativa também foi conduzida para investigar variações sudísticas tanto na estrutura de movimento quanto no uso de hedge entre as duas subdisciplinas na área de Negócios. No total, sessenta e quatro artigos de pesquisa resumos publicados em 2012 foram selecionados aleatoriamente de oito principais revistas em duas subdisciplinas. O modelo de Hyland (2000) foi adotado como estrutura analítica para uma análise da estrutura de movimento, e uma Ferramenta Wordsmith foi usada para buscar hedging nenhum corpus. Os resultados mostraram que uma estrutura de movimento de I-P-Pr (Introdução-Propósito-Produto) é como seqüências mais dominantes em Gestão e Marketing. Quanto ao uso de hedge, todos os cinco tipos executaram em ambas as subdisciplinas de Negócios. Os achados deste estudo também demonstram uma existência de variações em termos de estrutura de movimento e utilização de hedging nos resumos entre as duas subdisciplinas. Assim, como implicações pedagógicas podem ser consideradas como práticas de diferentes contextos de aprendizagem. Palavras-chave: RA comercial, resumos, estrutura de movimentos, hedging, variações subdisciplinares

Page 38

C11 - Mapeando as Perguntas: O Estado da Pesquisa Relacionada à Transferência de EscritaJessie Moore O artigo a seguir mapeia as questões, métodos, contextos e teorias apresentadas na bolsa publicada sobre transferência relacionada à escrita. Embora não exaustiva, esta revisão tenta capturar amostras representativas com um foco em publicações recentes. O artigo destaca, então, uma iniciativa de pesquisa multi-institucional que visa realçar o "mapa" do campo e sugere áreas adicionais para exploração.

Page 39

C12 - Investigando Mover Estrutura da Linguística Aplicada Inglês Pesquisa Artigo Discussões. Wirada Amnuai1 & Anchalee Wannaruk1Resumo Este estudo investiga a estrutura de movimento retórica do artigo de pesquisa lingüística aplicada em inglês Discussões publicadas em revistas tailandesas e internacionais. Dois corpos compreendendo 30 discussões tailandesas e 30 discussões internacionais foram analisados ​​usando o modelo de movimento de Yang & Allison (2003). Com base na análise, foram encontradas semelhanças e diferenças quanto à ocorrência de movimento, padrões de ordenação de movimento e ciclicidade de movimento. As diferenças acentuadas dos dois corpos estavam no emprego escalonado. Os resultados obtidos no presente estudo são úteis especialmente para os escritores não-nativos novatos, facilitando-os a entender melhor a estrutura retórica do artigo de pesquisa Discussões nos diferentes contextos de publicação. Além disso, eles podem fornecer aos professores L2 uma visão sobre as estratégias eficazes de instrução para ajudar os aprendentes de EFL / ESL a adquirir conhecimento pragmático da estrutura retórica das discussões de artigos de pesquisa. Palavras-chave: análise de movimento, seção de discussão, artigo de pesquisa, gênero

Page 40

C13 - O autor como leitor e escritor. POR TOM MILLER. Tendo estado fora do campo de inglês como língua estrangeira por vários anos, eu estava Surpreendido e satisfeito quando o editor do English Teaching Forum me pediu para escrever algumas reflexões sobre um artigo que co-autoria com Dee Parker em 1997. Minha primeira tarefa foi passar por tantas questões recentes do Forum quanto eu pudesse ver se o artigo original era Ainda relevante para os leitores do Fórum e potenciais autores. Examinei as páginas de números recentes para ver o que era tópico, quais autores estavam sendo citados e como o Fórum havia mudado desde minha última exposição há mais de cinco anos. Em leitura Diane Millar 2011 artigo sobre sensibilização de gênero, fiquei satisfeito por ver que o gênero era ainda de actualidade e que algumas das referências que ela citou eram velhos amigos meus. Na mesma edição, vi que os sujeitos da autoridade textual e do referenciamento - que também abordamos em nosso artigo de 1997 - também eram atuais. Em seguida, comecei a olhar para a estrutura dos artigos do Fórum para ver se as nossas recomendações ainda eram relevantes para os leitores atuais."As convenções de formato e colocação de idéias em um texto ajudam o leitor a identificar o que é importante eo que é novo, e ajudam a relacionar partes do texto com o todo." - Tom Miller e Dee Parker

Page 41

D1 - Línguas estrangeiras Os falantes de inglês não-nativos enfrentam desafios ao tentar publicar. Mas existem recursos que podem fornecer ajuda. Ao redigir seu primeiro artigo científico em inglês, um estudante chinês de terceiro ano de pós-graduação tomou a estrada dura. Insistiu que seu conselheiro, cuja primeira língua era o inglês, lhe permitisse escrever o papel ele mesmo. Embora o estudante (que pediu para não serLivros de texto ingleses na universidade em Pequim, e podia ler e entender bem o inglês, era um desafio monumental encontrar as palavras certas e criar frases para expressar seu pensamento científico. "Fui e voltei com o meu investigador principal talvez 20 vezes e levou quatro, cinco ou talvez seis semanas", lembra o pesquisador, agora biólogo em uma universidade do Colorado. Seu conselho a outros cientistas cuja primeira língua não é o inglês: "Você só tem que escrever o manuscrito você mesmo. Muitos pesquisadores principais farão o trabalho para você, mas isso não é realmente bom treinamento. "Sua persistência valeu a pena: Developmental Cell publicou seu manuscrito.

Page 42

D2 - Comunicação e ESP: questões de equidade, acesso e perda de domínio Gibson Ferguson.O surgimento do inglês como língua internacional da comunicação científica tem sido amplamente documentado (por exemplo, ver Sano, 2002; Ammon, 2003) que seu domínio é dificilmente contestado empiricamente mesmo pelos mais críticos deste estado de aflições. Contudo, são mais contestados os efeitos desta dominância: com dois conjuntos de preocupações particularmente salientes: (i) o potencial impacto negativo em outras línguas - inclusive nas línguas nacionais padronizadas, que correm o risco, segundo se argumenta, de serem relegadas a um menor (Ii) a desigualdade comunicativa produzida pela dominância da língua inglesa entre, em particular, os cientistas / acadêmicos de língua nativa e os cientistas não-nativos, estes últimos experimentando uma desvantagem relativa, às vezes é reivindicado, Quando se trata de colocar seu trabalho em revistas internacionais de alto prestígio. Este artigo investiga ambas as preocupações com base em uma combinação de dados bibliométricos, levantamento de literatura e análise conceitual, com o objetivo de determinar em que medida as críticas relacionadas à perda de domínio e à iniqüidade podem ser sustentadas. O artigo argumenta que o risco de perda de domínio é muito real, mas que intervenções de planejamento de linguagem recentes podem ajudar a evitar o perigo. No que se refere à desigualdade, argumentamos que, embora a linguagem ainda seja uma barreira para alguns estudiosos, ela parece estar diminuindo em importância, com fatores não-linguísticos superando-os como fontes de desvantagem. No final do artigo algumas sugestões tentativas são feitas para a melhoria da desvantagem baseada na linguagem na publicação acadêmica. Palavras-chave: inglês global, comunicação científica, publicação, desigualdade, ESP.

Page 43

D3 - DEIXE QUE ELAS ESCRITEM O INGLÊSO INGLÊS PARA TODOSElise Langdon-Neuner¹1. E. Langdon-Neuner é o editor de The Write Stuff, que é o jornal da Associação Europeia de Escritores Médicos (EMWA), e membro do conselho editorial da European Science Editing, que é o jornal da Associação Europeia de Editores de Ciências (EASE). Ela tem um BSc em zoologia e foi anteriormente editor-chefe da Diabetologia e The Journal of Men's Health and Gender. Ela atualmente trabalha como editora de um autor na Baxter BioScience, Viena, Áustria.Recebido em 11/06/2007 Aceito para publicação em 16/07/2007Nenhuma outra fonte de financiamentoAs palavras duras "Deixa-os comer bolo" é a resposta atribuída a Marie-Antoinette (1755-93), a rainha consorte de Luís XVI, quando foi dito que o povo francês não tinha pão para comer. Nessa época, o francês era talvez a linguagem mais importante da ciência. Marie-Antoinette foi guillotined mais tarde pela população francesa. Uma falta de compreensão para as dificuldades enfrentadas por outros não aparentemente sempre servir a si mesmo, algo a ser mantido em mente quando se considera as exigências para publicação em Inglês como a linguagem atual da ciência.

Page 44

D4 - Publicação acadêmica e o mito da injustiça lingüística. Prof. Ken Hyland. Resumo: A publicação acadêmica agora domina a vida de acadêmicos de todo o mundo que devem submeter cada vez mais suas pesquisas para publicação em revistas de alto nível em inglês para avançar em suas carreiras. O domínio do inglês na edição acadêmica, no entanto, levantou questões de desigualdade comunicativa e possível "injustiça lingüística" contra a língua materna de um autor. Nativo Inglês falantes são pensados ​​para ter uma vantagem como eles adquirem linguagem naturalista enquanto os usuários de segunda língua devem investir mais tempo, esforço e dinheiro em formalmente aprender e pode ter maiores dificuldades ao escrever em Inglês. A pesquisa da atitude revela que o inglês como um escritor adicional da língua acredita geralmente que os editores e os árbitros são prejudicados contra eles por toda a língua não-padrão. Neste artigo reviso criticamente a evidência da injustiça linguística através de uma pesquisa bibliográfica e entrevistas com estudiosos que trabalham em Hong Kong. Argumento que a elaboração de problemas de publicação como uma polarização nativa versus não-nativa não se baseia apenas num respeito superado pela competência do "nativo", mas serve para desmoralizar os escritores de EAL e marginalizar as dificuldades experimentadas pelos principiantes ingleses L1. O artigo, então, é um apelo para uma visão mais inclusiva e equilibrada da publicação acadêmica. Keywords: publicação acadêmica; Injustiça linguística; Revisão pelos pares; EAL escritores

Page 45

D5 - Acesso aberto para o mundo que não fala inglês: superar a barreira linguística. Este editorial destaca o problema da barreira linguística na comunicação científica, apesar daSucesso recente do Movimento de Acesso Aberto. Quatro opções para que as revistas de língua inglesa superemA barreira da linguagem é sugerida: 1) resumos em linguagens alternativas fornecidas pelos autores, 2)Wiki tradução aberta, 3) placa internacional de tradutores-editores, e 4) linguagem alternativaVersão da revista. Os temas emergentes em Epidemiologia anuncia que, com efeito imediato,Aceita traduções de resumos ou textos completos por autores como Arquivos Adicionais.Nota editorial: Num esforço para superar a barreira da língua na publicação científica, a ETE aceitaráTraduções de resumos ou o texto completo de artigos publicados. Cada tradução deve ser submetida Separadamente como um arquivo adicional em formato PDF. A ETE apenas revisará as versões em inglês.Portanto, as traduções não serão analisadas no processo de revisão e a responsabilidade pela A tradução precisa depende dos autores

Page 46

D6 - Inglês ou inglês na Academia Global: uma análise histórica sobre o gênero. Oliver Shaw Serviço de Tradução. Resumo: O desafio de publicar internacionalmente para falantes de inglês não-nativos (NNESs) é substancial, embora existam contas conflitantes sobre como os textos de autoria do NNES se aplicam em revistas em inglês e a natureza da crítica levantada nesses textos. Colaboradores de uma ampla variedade de backgrounds e habilidades podem contribuir para esses textos, e os aspectos que eles focam diferem com base em seu perfil. Um desses aspectos, a adequação retórica, é de interesse para o estudo da escrita NNES por causa das dificuldades que os autores têm em adaptar-se às características do nível discursivo dos textos acadêmicos de língua inglesa. Este artigo apresenta um projeto de pesquisa plurianual que explora as características históricas da escrita produzida por pesquisadoresNNES que buscam publicar em revistas biomédicas internacionais. Usando uma abordagem histórico-textual, o estudo traça o arco de 10 artigos de pesquisa diferentes em vários rascunhos, analisando os processos e agentes por trás desses rascunhos eo feedback recebido de periódicos alvo. Com foco em mudanças retoricamente significativas feitas através de diferentes rascunhos e comentários sobre questões lingüísticas, este trabalho procura aprofundar a compreensão do inglês como lingua franca dentro do discurso escrito no campo da biomedicina. Uma história de texto é apresentada para exemplificar os métodos. Keywords: edição do autor; Inglês biomédico; Inglês como lingua franca; Análise de gênero; Artigos de pesquisa; Histórias de texto

Page 47

D7 - Conceitos emergentes em publicações de alto impacto: percepções do Primeiro Colóquio Brasileiro de Pesquisa e Publicação de Alto ImpactoValerie MatareseInglês ou português na Academia Global: uma análise histórica sobre o gêneroOliver Shaw Serviço de Tradução, Instituto de Pesquisas em Saúde-Fundação Jiménez Díaz, Av. Reyes Católicos 2, 28040 Madrid, Espanha; Olishaw@gmail.com; Tel .: + 34-917-810-682 (extensão 169) Editor Acadêmico: Margaret Cargill Recebido: 24 de dezembro de 2015; Aceites: 11 de fevereiro de 2016; Publicado em: 24 de Fevereiro de 2016Resumo: O desafio de publicar internacionalmente para falantes de inglês não-nativos (NNESs) é substancial, embora existam contas conflitantes sobre como os textos de autoria do NNES se aplicam em revistas em inglês e uma natureza de crítica levantada nesses textos. Colaboradores de uma ampla variedade de cenários e habilidades podem contribuir para esses textos, e os que são focados em sua base em seu perfil. Um dos ensaios, uma adequação retórica, é de interesse para o estudo da escrita NNES por causa das dificuldades que os autores têm em adaptar-se às características do nível discursivo dos textos acadêmicos de língua inglesa. Este artigo apresenta um projeto de pesquisa plurianual que explora como características históricas da escrita produzida por pesquisadoresNNES que buscam publicar em revistas biomédicas internacionais. Usando uma abordagem histórica-textual, o estudo traço ou arco de 10 artigos de pesquisa em vários rascunhos, analisando os processos e agentes por trás dos rascunhos eo feedback recebido de periódicos alvo. Com foco em mudanças retoricamente significativas por meio de diferentes rascunhos e comentários sobre questões lingüísticas, este trabalho procuram uma compreensão do inglês como língua franca dentro do discurso escrito no campo da biomedicina. Uma história de texto é apresentada para exemplificar os métodos. Palavras-chave: edição do autor; Inglês biomédico; Inglês como lingua franca; Análise de gênero; Artigos de pesquisa; Histórias de texto

Page 48

D8 - A pressão para publicar mais e o escopo das atividades de publicação predatória. Este artigo revisa práticas de publicação antiéticas em conexão com a pressão para publicar mais. Ambos os modelos de publicação em aberto e de subscrição podem ser abusados ​​por autores, editores e publicações "predatórias". Exemplos relevantes de estudiosos "prolíficos" são vistos através do prisma da violação da autoria ética em revistas estabelecidas e indiscriminadamente impulsionando registros de publicação em outros lugares. Os casos de transgressões éticas por corretagem de agências e agentes editoriais, operando predominantemente em países não-ingleses, são apresentados para aumentar a conscientização sobre as atividades predatórias. O esquema das atividades de publicação predatória é apresentado, e várias medidas são propostas para abordar a questão da publicação predatória. Acredita-se que as campanhas de conscientização das sociedades profissionais, as consultas aos facilitadores da informação, a implementação dos critérios das melhores revistas-alvo e o crédito aos estudiosos com o uso de métricas integrativas de citações, como o h-index, façam a diferença. Palavras-chave: Publicação predatória; Acesso livre; Autoria; Sociedades Profissionais; Métricas de citação; Melhores Diários-alvo

Page 49

A2 - A3 - A4 - A5 - A6- A7- A8- A9 - B1 - B2 - B3 - B4 - B5 - B6 - B7 - B8 - B9 - B10 - B11 - B12 - B13 - B14 - B15 - B16 - B17 - B18 - B19 - C1 - C2 - C3 - C4 - C5 - C6 - C7 - C8 - C9 - C10 - C11 - C12 - C13 - D1 - D2 - D3 - D4 - D 5 - D6 - D7 - D8 TOTAL= 48 artigosArtigos que continham no título os termos: escrita, escritor, escrever (variáveis), publicação, redação. A3 - A8 - B1 - B2 - B3 - B4 - B5 - B6 - B8 - B10 - B11 - B12 - B13 - B14 - B15 - B16 - C2 - C6 - C11 - C13 - D3 - D4 - D7 - D8 TOTAL= 24 Artigos que continham nas palavras chave os termos: escrita, escritor, escrever (variáveis), publicação, redação.A3 - A8 - B1 - B2 - B4 - B5 - B6 - B7 - B8 - B9 - B11 - B12 - B15 - B18 - B19 - C3 - D2 - D4 - D8 TOTAL= 19

Artigos que continham nas palavras chave e no título os termos: escrita, escritor, escrever (variáveis), publicação, redação.A3 - A8 - B1 - B2 - B4 - B5 - B6 - B8 - B11 - B12 - B15 - D4 - D8TOTAL= 13 Artigos que continham somente nas palavras chave os termos: escrita, escritor, escrever (variáveis), publicação, redação.D2 - C3 - B18 - B16 - B9 - B7 TOTAL= 06

Artigos que continham somente nos títulos os termos: escrita, escritor, escrever (variáveis), publicação, redação.D7 -D3 - C13 - C1 - C6 - C2 - B15 - B14 - B13 - B10 - B3 TOTAL= 11Artigos que não repetiam nos campos palavras chave e título os termos: escrita, escritor, escrever (variáveis), publicação, redação.B3 - B7 - B9 - B10 - B13 - B14 - B18 - B19 - C2 - C3 - C6 - C11 - C13 - D3 - D2 - D7 TOTAL= 16

Show full summary Hide full summary

Similar

Grandes Filósofos
Luiz Fernando
Simulado Filosofia
Marina Faria
Hobbes, Locke e Rousseau
Ricardo l.
Dos Mitos à Filosofia...
KauanM
Sócrates, Platão e Aristóteles
André Matias
Revisão de Filosofia - 3a. série - Ensino Médio
e-pn-2007@hotmail.co
Simulado Filosofia
aloirmd
Revisão de Filosofia 1a. série do Ensino Médio
e-pn-2007@hotmail.co
Revisão de Filosofia - 2a. série do Ensino Médio
e-pn-2007@hotmail.co
Francis Bacon
PAULO LEITE
O início da Filosofia: Pré-socráticos
Brenda Andrade4227