Regents Geometry

Description

In this resource I have outlined some of the most important Geometry Regents formulas and notes.
chathomas11
Note by chathomas11, updated more than 1 year ago
chathomas11
Created by chathomas11 almost 12 years ago
662
7

Resource summary

Page 1

Geometry Notes

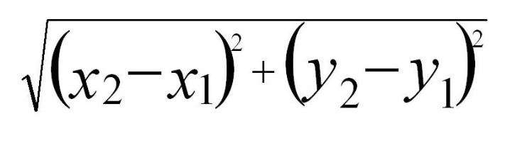
Distance formula: 

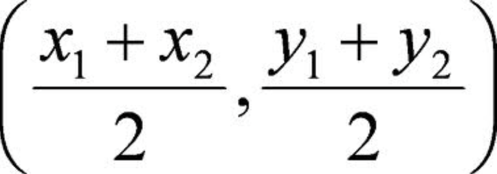
Midpoint: 

Polygons: 3: Triangle  4: Quadrilateral 5: Pentagon6: Hexagon 7: Heptagon 8: Octagon9: nonagon 10: decagon 12: dodecagon And on- #-gon     Ex. 23gon

Chap 1 

Convex - No line along side of polygon is lying in the interior 

Concave - Not convex

Equilateral - all sides are congruent 

Equiangular - all sides in interior are congruent 

Regular - Both equilateral and equiangular 

Complementary - two angle with sum of 90* 

Supplementary- two angles with a sums of 180*

Find lengths of segments on #line or coordinate plane 

Coordinate of midpoint of a segment 

Collinear- points that line together on same line

coplanar - line in same plane 

Chapter 1

Show full summary Hide full summary

Similar

Geometry Vocabulary
patticlj
Pythagorean Theorem Quiz
Selam H
Geometry Formulas
Selam H
GCSE Maths: Geometry & Measures
Andrea Leyden
GCSE Maths: Understanding Pythagoras' Theorem
Micheal Heffernan
Geometry Theorems
PatrickNoonan
TOEFL English Vocab (A - M)
Ali Kane
Random German A-level Vocab
Libby Shaw
Vocabulary Words
Jenna Trost
TOEFL English Vocabulary (N - Z)
Ali Kane
Algebraic & Geometric Proofs
Selam H