NOTES - Heterogeneous Catalysis

Description

NOTES - Heterogeneous Catalysis
Sulivan González
Note by Sulivan González, updated more than 1 year ago
Sulivan González
Created by Sulivan González over 9 years ago
80
0

Resource summary

Page 2

Al incorporation into zeolites

Page 3

Reactions of acidic zeolites

Page 4

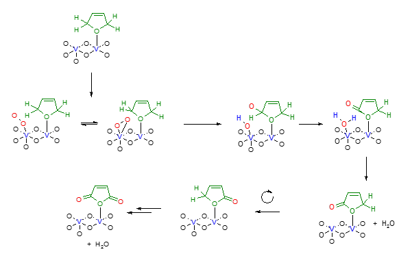
Zeolites as superacids - cracking of alkanes

Gives pentavalent C intermediate (protonates on secondary carbon)

Page 5

Zeolites as superacids - cracking of alkanesZeolites as superacids - cracking of alkanes

In more detail

Show full summary Hide full summary

Similar

GoConqr Getting Started Guide
Norman McBrien
AS Biology- OCR- Module 1 Cells Specification Analysis and Notes
Laura Perry
GCSE Computing: Hardware
Yasmin F
Plot in 'An Inspector Calls' GCSE
magicalinsanity
Gatsby notes on symbolism and themes
Maria-Rodriguez
The Heart
Thomas Marshall
Stalin's Russia AS Notes
Asterisked
P1- OCR 21ST Century
Archana R
the renaissance
Liz Broderick
Transform your Material with Online Notes
megclark
The bones in the body
Thomas Marshall