A-Level Chemistry: Polymers

Description

A simple note explaining Polymers and how they react and change. All this is from the A-Level Chemistry course. Credit to: www.getting-in.com/
cian.buckley+1
Note by cian.buckley+1, updated more than 1 year ago
cian.buckley+1
Created by cian.buckley+1 almost 12 years ago
1784
13

Resource summary

Page 1

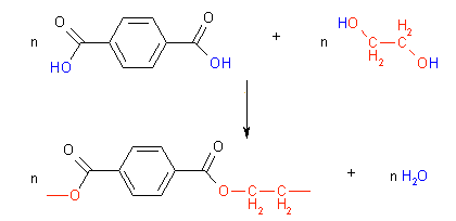
PolyestersAn ester is formed and a small molecule lost when a carboxylic acid or acyl chloride reacts with an alcohol. For example:ethanoyl chloride + ethanol → ethyl ethanoate + HClThis is an example of a condensation reaction: two or more molecules combine and a small molecule is eliminated.Therefore, it follows that when a dicarboxylic acidanda diol react, the -COOH group at both ends of the dicarboxylic acid join to an -OH group and, at both ends of the diol, the -OH group joins to a -COOH group. This means that it should be possible for all the molecules to link up and create a polymer.For example: benzene-1,4-dicarboxylic acid and ethan-1,2-diol. When these compounds combine to create a polymer, water is the small molecule lost. This creates the following repeating unit:Each monomer unit links to the next by an ester group: Therefore, a polymer which consists of an ester linkage is called a polyester. The polymer used in the above example is called terylene and is used in fire-resistant clothing. It is possible to form the same polyester by combining a diacyl chloride and a diol. For example, benzene-1,4-diacyl chloride and ethan-1,2-diol. However, HCl instead of H2O is produced. The yield through polymerisation of diacyl chlorides as opposed to dicarboxylic acids is much higher. This is because the former is much more reactive and because, as HCl is a gas and therefore escapes, the reaction is harder to reverse. Therefore, before polymerisation is carried out it is common for dicarboxylic acids to be converted into diacyl chlorides by adding PCl5.

Polyamides An N-substituted amide is formed when a carboxylic acid or acyl chloride reacts with a primary amine. For example: propanoic acid + ethylamine ═ N-ethylpropanamide + H2O Therefore, it follows that when a dicarboxylic acid and a diamine react, the -COOH group at both ends of the dicarboxylic acid combine with an -NH2 group and the -NH2group at either end of the diamine combine with a -COOH group. This means that it should be possible for all the molecules to link up and create a polymer. For example: hexanedioic acid and 1,6-diaminohexane. When these compounds combine to make a polymer, water is the small molecule lost. This creates the following repeating unit: Each monomer unit links to the next by an amide or peptide link:  Therefore, a polymer which consists of an amide or peptide linkage is called apolyamide. The polyamide used in the example above is called nylon 66 and is used in clothing It is possible to form the same polyester by combining a diacyl chloride and the diamine. However, HCl instead of H2O is produced. As before, the yield through polymerisation of diacyl chlorides as opposed to dicarboxylic acids is much higher. This is because the former is much more reactiveand because, as HCl is a gas and therefore escapes the reaction, the reaction isharder to reverse. Therefore, before polymerisation is carried out it is common for dicarboxylic acids to be converted into diacyl chlorides by adding PCl5.

Properties and uses of condensation polymers Polyester and polyamides are known collectively as condensation polymersbecause they are formed by a condensation reaction. Condensation polymers are generally formed from straight chains which consist offew branches. This is due to the fact that they are created by reactions withheterolytic mechanisms as opposed to homolytic mechanisms (which are more random). On the other hand, addition polymers are created through free radical addition mechanisms which form a variety of products and, therefore, morebranching. The lack of branching means that condensation polymers tend to be linear and the chains are able to pack closely together. Therefore, these polymers are more rigidand have a higher tensile strength than addition polymers. Polyamides also containhydrogen bonding which increases their strength further. Those that occur naturallycan even contain intramolecular hydrogen bonding which causes the molecule to curl up into a helical structure. Both polyamides and polyesters are used popularly in high-strength synthetic fibres: Polyesters are used to substitute wool and cotton in clothing, carpets and rugs. They are also present in bullet-proof vests and some forms of fire-resistant clothing. Polyamides have more elastic properties and are used in items like fishing nets and underwear as well as other synthetic fibres.  Possibly the most important difference between condensation and addition polymers is that the former is composed of chains which contain polar bonds. In other words, the polymer units are linked with C-N and C-O bonds. As nucleophiles can readily attack these polar carbon atoms, condensation polymers can be readily broken up and themonomers reformed. This means that they are biodegradable making them much less of an environmental hazard than addition polymers. Condensation polymers can be broken up in aqueous solution, a reaction which is classed as a hydrolysis reaction. Polyesters hydrolyse best in strongly alkaline conditions. Here they undergosaponification. Polyamides hydrolyse best in strongly acid conditions.  However, their biodegradability means that they are less durable. It is important, therefore, that a balance is struck between practical durability and biodegradability.

Disposing of non-biodegradable polymers poses a lot of problems. There are three main options available:Landfill sites: although burying non-biodegradable polymers in landfills is a very popular option throughout developed countries it is not one which is sustainable: eventually they will all fill up. In addition, they areunsightly and not hygienic. Burning: this is another common practice but comes with its own problems. Burning polymers produces greenhouse gases like carbon dioxide as well astoxic gases (depending on which polymer is being burned). Recycling: this is the most environmentally friendly option but not the easiest. Plastics need to be collected then separated and cleaned before being melted and recast. This method tends to cost more than manufacturing the plastic straight from the crude oil. In addition, it is not possible to melt all plastics as some harden or burn instead. This means that they can only be recycled in the shape they were cast originally.  Biodegradable polymers, on the other hand, are able to decomposed naturally so burying them poses less environmental concerns. They can also be recycled but need to be collected, separated and cleaned before they can be reused like non-biodegradable polymers.

Formation of Addition PolymersAddition polymers are created from alkenes. With a high pressure and a suitable catalyst it is possible to join alkenes together by breaking the π-bonds. As no other product is formed this is known as addition polymerisation. The resulting polymers are called polyalkenes.For example, if ethene goes through this process the resulting polyalkene is polyethene, a very long hydrocarbon chain. Additional polymers can be made from any alkene for instance poly(propene) from propene or poly(but-2-ene) from but-2-ene.Useful polymers include: polyethene for crates and plastic bags polypropene for plastic tubing polychloroethene (also known as polyinylchloride) for records and waterproof clothing polyphenylethene (also known as polystyrene) for packaging  Using Le Chatelier’s principle it is possible to calculate the most favourable conditions for alkene polymerisation. Two factors need to be taken into consideration: the reaction only involves breaking π-bonds and making σ-bonds thus making it an exothermic reaction the reaction is a reduction in mole number  As the reaction is exothermic and involves a decrease in moles the best yield will be produced at a: low temperature high pressure Therefore, addition polymerisation takes place with a suitable catalyst and at a high pressure.

Properties of addition polymers Due to the fact polyalkenes are composed of long hydrocarbon chains which are non-polar and saturated, they possess a number of properties.Their long length means that the Van der Waal’s forces are usually very strong between the chains. This means that the polymers have high melting and boiling points.However, the majority of polymers contain chains of different lengths so the Van der Waal’s forces also vary which means that these polymers usually melt over a range of temperatures at a gradual rate as opposed to completely at a fixed temperature. In addition, the chains are not rigid in one position meaning that polymers are usual quite soft. As the chains are non-polar, polyalkenes are insoluble in water. They tend to be insoluble in solvents too because there are strong intermolecular forces between molecules and the chains are generally tangled up together. In fact, polyalkenes are generally very unreactive. Because of their saturated hydrocarbon chains they also cannot react with electrophiles or nucleophiles and are not able to undergo addition reactions. This inert quality makes them ideal as insulators in packing and container materials. On the negative side, however, it also means that they do not naturally decompose easily and so are said to be non-biodegradable. This means that they are an environmental hazard. Polyalkenes differ widely in terms of strength and density. These properties depend on hydrocarbon chain length and, more importantly, on the branching of the chains. A polymer with only a few branches will be very compact. Therefore, they usually possess a very high density because the closely packed chains are held together strongly by the Van der Waal’s forces. These polymers are generally also stronger and harder. A polymer which is highly branched cannot pack together so efficiently. Therefore, they usually possess a lower density because the chains cannot sit closely together meaning that the Van der Waal’s forces are weaker. There polymers are generally softer and weaker.

Polyesters

Polyamides

Properties and uses of condensation polymers

Disposal and Recycling of Polymers

Addition Polymers

Show full summary Hide full summary

Similar

AS Psychology Unit 1 & 2 (Edexcel)
AnthonyElikwu
A2 Chemistry OCR Definitions: Rates, acids and enthalpy
Ollie O'Keeffe
Thermal Physics
SarahBarrett
A Level Business Studies: Course Overview
cian.buckley+1
God as Creator
katie.browell
Great Gatsby - Chapter 1
ellen.harrison
Definitions
Sophie Marshall
The Economic Problem
07nelvjose
Pursuing Life and Liberty: Equality in the USA 1945-68
yasmyncharles
Model Answers
katburr23
Mind as a Tabula Rasa
yasmyncharles