Simulado de Química

Description

Teste seus conhecimentos sobre Química para o Enem e Vestibulares
Marina Faria
Quiz by Marina Faria, updated more than 1 year ago
Marina Faria
Created by Marina Faria about 11 years ago
6332
60

Resource summary

Question 1

Question
A produção mundial de alimentos poderia se reduzir a 40% da atual sem a aplicação de controle sobre as pragas agrícolas. Por outro lado, o uso frequente dos agrotóxicos pode causar contaminação em solos, águas superficiais e subterrâneas, atmosfera e alimentos. Os biopesticidas, tais como a piretrina e a coronopilina, têm sido uma alternativa na diminuição dos prejuízos econômicos, sociais e ambientais gerados pelos agrotóxicos. Identifique as funções orgânicas presentes simultaneamente nas estruturas dos dois biopesticidas apresentados:
Answer
  • Éter e éster
  • Cetona e éster
  • Álcool e cetona
  • Aldeído e cetona.
  • Éter e ácido carboxílico

Question 2

Question
Há milhares de anos o homem faz uso da biotecnologia para a produção de alimentos como pães, cervejas e vinhos. Na fabricação de pães, por exemplo, são usados fungos unicelulares, chamados de leveduras, que são comercializados como fermento biológico. Eles são usados para promover o crescimento da massa, deixando-a leve e macia. O crescimento da massa do pão pelo processo citado é resultante da
Answer
  • liberação de gás carbônico.
  • formação de ácido lático.
  • formação de água.
  • produção de ATP.
  • liberação de calor.

Question 3

Question
Uma dona de casa acidentalmente deixou cair na geladeira a água proveniente do degelo de um peixe, o que deixou um cheiro forte e desagradável dentro do eletrodoméstico. Sabe-se que o odor característico de peixe se deve às aminas e que esses compostos se comportam como bases. Na tabela são listadas as concentrações hidrogeniônicas de alguns materiais encontrados na cozinha, que a dona de casa pensa em utilizar na limpeza da geladeira. Dentre os materiais listados, quais são apropriados para amenizar esse odor?
Answer
  • Álcool ou sabão
  • Suco de limão ou álcool.
  • Suco de limão ou vinagre.
  • Suco de limão, leite ou sabão.
  • Sabão ou carbonato de sódio/barrilha

Question 4

Question
Em uma planície, ocorreu um acidente ambiental em decorrência do derramamento de grande quantidade de um hidrocarboneto que se apresenta na forma pastosa à temperatura ambiente. Um químico ambiental utilizou uma quantidade apropriada de uma solução de para-dodecil-benzenossulfonato de sódio, um agente tensoativo sintético, para diminuir os impactos desse acidente. Essa intervenção produz resultados positivos para o ambiente porque
Answer
  • promove uma reação de substituição no hidrocarboneto, tornando-o menos letal ao ambiente
  • a hidrólise do para-dodecil-benzenossulfonato de sódio produz energia térmica suficiente para vaporizar o hidrocarboneto.
  • a mistura desses reagentes provoca a combustão do hidrocarboneto, o que diminui a quantidade dessa substância na natureza
  • a solução de para-dodecil-benzenossulfonato possibilita a solubilização do hidrocarboneto
  • o reagente adicionado provoca uma solidificação do hidrocarboneto, o que facilita sua retirada do ambiente.

Question 5

Question
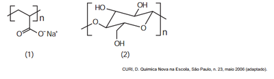
As fraldas descartáveis que contêm o polímero poliacrilato de sódio (1) são mais eficientes na retenção de água que as fraldas de pano convencionais, constituídas de fibras de celulose (2). A maior eficiência dessas fraldas descartáveis, em relação às de pano, deve-se às
Answer
  • interações dipolo-dipolo mais fortes entre o poliacrilato e a água, em relação às ligações de hidrogênio entre a celulose e as moléculas de água.
  • interações íon-íon mais fortes entre o poliacrilato e as moléculas de água, em relação às ligações de hidrogênio entre a celulose e as moléculas de água.
  • ligações de hidrogênio mais fortes entre o poliacrilato e a água, em relação às interações íon-dipolo entre a celulose e as moléculas de água.
  • ligações de hidrogênio mais fortes entre o poliacrilato e as moléculas de água, em relação às interações dipolo induzido-dipolo induzido entre a celulose e as moléculas de água.
  • interações íon-dipolo mais fortes entre o poliacrilato e as moléculas de água, em relação às ligações de hidrogênio entre a celulose e as moléculas de água.

Question 6

Question
Eu também podia decompor a água, se fosse salgada ou acidulada, usando a pilha de Daniell como fonte de força. Lembro o prazer extraordinário que sentia ao decompor um pouco de água em uma taça para ovos quentes, vendo-a separar-se em seus elementos, o oxigênio em um eletrodo, o hidrogênio no outro. A eletricidade de uma pilha de 1 volt parecia tão fraca, e no entanto podia ser suficiente para desfazer um composto químico, a água... SACKS, O. Tio Tungstênio: memórias de uma infância química. São Paulo: Cia. das Letras, 2002. O fragmento do romance de Oliver Sacks relata a separação dos elementos que compõem a água. O princípio do método apresentado é utilizado industrialmente na
Answer
  • obtenção de ouro a partir de pepitas.
  • obtenção de calcário a partir de rochas.
  • obtenção de alumínio a partir da bauxita.
  • obtenção de ferro a partir de seus óxidos.
  • obtenção de amônia a partir de hidrogênio e nitrogênio
Show full summary Hide full summary

Similar

Simulado Espanhol
Marina Faria
Simulado ENEM - Língua Espanhola
Nathalia - GoConqr
Simulado Geografia
Marina Faria
Simulado Matemática
Marina Faria
Simulado Inglês
Marina Faria
Simulado Filosofia
Marina Faria
Provas anteriores de Vestibular - Fuvest 1
GoConqr suporte .
Plano de estudos ENEM - Parte 1 *Humanas
Alice Sousa
Plano de estudos ENEM - Parte 1 *Humanas
GoConqr suporte .
Provas anteriores de Vestibular - Unicamp 2014 - 1
GoConqr suporte .
Provas anteriores de vestibular - Fuvest 2
GoConqr suporte .