null
US
Sign In
Sign Up for Free
Sign Up
We have detected that Javascript is not enabled in your browser. The dynamic nature of our site means that Javascript must be enabled to function properly. Please read our
terms and conditions
for more information.
Next up
Copy and Edit
You need to log in to complete this action!
Register for Free
2671588
NO - Conjuntos Numéricos
Description
Quiz para avaliar conhecimentos relativos a Conjuntos Numéricos (domínio Números e Operações), inserido na preparação do Exame Nacional de Matemática de 9.º ano de escolaridade.
No tags specified
quiz
preparar
exame
matemática
matematica
9 ano
números
numeros
operações
operacoes
conjuntos
numéricos
numericos
matemática
ensino médio
Quiz by
Maurício Pinto
, updated more than 1 year ago
More
Less
Created by
linmoniz
over 10 years ago
Copied by
Maurício Pinto
over 10 years ago
63
0
0
Resource summary
Question 1
Question
Apenas um dos quatro números que se seguem é um número irracional. Qual?
Answer
Image:
83e4ede7-dd2a-4c7a-a424-4deed4578ab9 (image/jpg)
Image:
0919835d-56be-4351-bd60-95a08b903b5c (image/jpg)
Image:
5d46fe59-6741-48c7-ba43-062ff4899158 (image/jpg)
Image:
10f6a747-f642-401d-8a9f-a3ff2f08f73b (image/jpg)
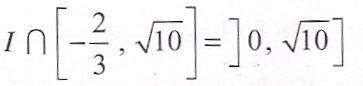
Question 2
Question
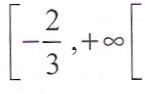
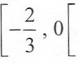
Sabe-se que se verifica a relação ao lado. Qual dos intervalos seguintes pode ser o conjunto I ?
Image:
6dfb2428-91f1-49f6-8243-5921e083ff94 (image/jpg)
Answer
Image:
ac166549-b450-4b15-87b1-f96034ca3d36 (image/jpg)
Image:
008c2577-88a5-4615-a9cd-8fe017e0afec (image/jpg)
Image:
585cd641-66a8-4aed-b7ce-e0fa05be71e6 (image/jpg)
Image:
32c8443b-d73f-4170-b499-c867a1666e02 (image/jpg)
Question 3
Question
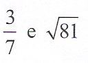
Raiz quadrada de 5 é um número que pertence ao conjunto ao lado.
Image:
eefa0706-bfde-4989-974d-6cd28fc76f6b (image/jpg)
Answer
True
False
Question 4
Question
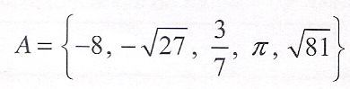
Os números irracionais que pertencem ao conjunto A são:
Image:
5522523e-ae75-4fa4-9a83-b409965a937c (image/jpg)
Answer
Image:
f516dab9-93a9-4008-94b5-f11f8da60e73 (image/jpg)
Image:
a644e3de-f72c-40d7-876a-3bd47487186d (image/jpg)
Image:
9f7c327b-a258-4ef0-af31-9e56756530d4 (image/jpg)
Image:
28a1cf34-8651-48f7-a072-2f2d3e8b36aa (image/jpg)
Show full summary
Hide full summary
Want to create your own
Quizzes
for
free
with GoConqr?
Learn more
.
Similar
Simulado Matemática
Marina Faria
Conjuntos Numéricos
Laura Louis
Tabuada
Alessandra S.
Matemática Básica
Alessandra S.
Geometria Plana
Bruno Fernandes3682
Como Estudar Matemática
Alessandra S.
Simulado de Matemática
Alessandra S.
Roteiro de Estudo - Matemática
Luiz Fernando
Plano de estudos ENEM - Parte 2 *Exatas/Biológicas
GoConqr suporte .
Geometria Plana Triângulo
Luiz Antonio Lopes
Matemática - Triângulos
Felipe Perreira
Browse Library