Quiz - Lema do Bombeamento para Linguagens Regulares

Description

Perguntas relacionadas a video aula
douglasrndn
Quiz by douglasrndn, updated more than 1 year ago More Less
douglasrndn
Created by douglasrndn about 10 years ago
lucas.wiechmann
Copied by lucas.wiechmann about 10 years ago
douglasrndn
Copied by douglasrndn about 10 years ago
14
0

Resource summary

Question 1

Question
O Lema de Bombeamento para Linguagens Regulares tem como objetivo:
Answer
  • Provar que uma Linguagem é regular
  • Provar que uma Linguagem não é regular
  • Verificar se uma Linguagem possui ciclos
  • Verificar se um Linguagem é finita

Question 2

Question
Como mencionado na vídeo aula, existem dois tipos do Lema do Bombeamento. Quais são esses tipos?
Answer
  • Lema do Bombeamento para Linguagens Sensíveis ao Contexto
  • Lema do Bombeamento para Linguagens Infinitas e Livres do Contexto
  • Lema do Bombeamento para Linguagens Finitas e Infinitas
  • Lema do Bombeamento para Linguagens Regulares e Livres do Contexto

Question 3

Question
Assumindo que um Linguagem A é regular, assinale a opção incorreta:
Answer
  • Existe uma constate 'p' chamada constante do Lema de Bombeamento, a qual indica o tamanho do bombeamento
  • Toda cadeia da Linguagem A de tamanho 's' podem ser decompostas em 3 partes desde que |s| > p
  • Toda cadeia da Linguagem A de tamanho 's' podem ser decompostas em 3 partes desde que |s| < p
  • A cadeia 's' pode ser dividida em xyz
  • Toda Linguagem Regular satisfaz o Lema do Bombeamento (LB)

Question 4

Question
Considere uma máquina de estados finitos com 10 estados. Qual é o tamanho da cadeia mais longa que podemos construir sem que haja um ciclo?
Answer
  • 8
  • 9
  • 10
  • 11
  • 12

Question 5

Question
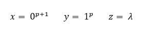
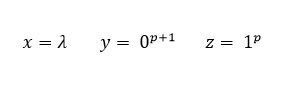
Dada a linguagem A={0^m 1^n ∶m > n ≥ 0}. Sendo p ≥ 1 o tamanho do bombeamento e considerando a cadeia s = 0^(p+1) 1^p. Qual das seguintes divisões de s em xyz garante que a linguagem seja regular:

Question 6

Question
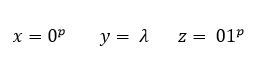
Ainda para a linguagem descrita no exercício anterior, sabemos que podemos escrever s como xy^(i)z para todo i ≥ 0. Dado que x = λ, y = 0^p, z = 01^p. Qual das alternativas abaixo contém um valor para i que gere uma cadeia que não está contida em A?
Answer
  • i = 1
  • i = 2
  • i = 0
  • i = 5
Show full summary Hide full summary

Similar

Regular and Irregular verbs
Valentina Bolla Bordas
Operações Fechadas sobre LR
eric.antunes.94
Check List - LR
Daniele Pinheiro
FUNÇÕES DO CONSELHO FEDERAL DE CONTABILIDADE
Eleni Oliveira Durante
Quiz teste_1
douglasrndn