null
US
Sign In
Sign Up for Free
Sign Up
We have detected that Javascript is not enabled in your browser. The dynamic nature of our site means that Javascript must be enabled to function properly. Please read our
terms and conditions
for more information.
Next up
Copy and Edit
You need to log in to complete this action!
Register for Free
3576130
Minimização de AF
Description
Leia a descrição do algoritmo e tente resolver as perguntas!
No tags specified
minimizacao
automatos finitos
linguagens formais
Quiz by
Igor Baliza
, updated more than 1 year ago
More
Less
Created by
Igor Baliza
about 10 years ago
187
1
0
Resource summary
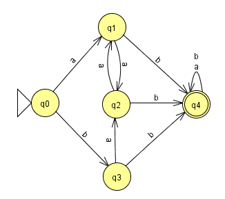
Question 1
Question
Quais estados do autômato finito serão equivalentes após a minimização?
Image:
e3caea96-b924-4a2c-a68d-b1d9a99587d6 (image/png)
Answer
q0 e q4
q1, q2 e q3
q1 e q2
q0, q1 e q2
q0, q2 e q3
Question 2
Question
Quais as condições para que um autômato finito possa ser minimizado?
Answer
O AF tem que ser determinístico, não pode ter estados inacessíveis e deve ser completo.
O AF tem que ser determinístico e não pode ter estados inacessíveis.
O AF não pode ter estados inacessíveis, deve ser total e possuir estados com entradas e saídas iguais.
O AF deve possuir estados com saídas para os mesmos estados, entradas vindo dos mesmos estados e tem que ser completo.
Question 3
Question
Quando todos os estados de um autômato finito possuem transições com todos os sinais do dicionário, ele é chamado de AF:
Answer
Completo
Determinístico
Não Determinístico
Inacessível
Mínimo
Question 4
Question
Quais das seguintes alternativas NÃO representam um resultado após minimização do autômato finito ao lado?
Image:
26327f72-23fb-449e-8cd0-248bd55dd762 (image/png)
Answer
Remoção de q3
Image:
48ec7be4-594d-4617-a782-c91aa885578b (image/png)
Unificação de q2 e q6
Image:
412a7e7e-3785-42c9-bf3c-61e0a240ad83 (image/png)
Unificação de q1 e q5
Image:
e67005ff-5cd8-4b36-90e2-7bdf2e58609e (image/png)
Unificação de q1 e q3
Image:
d1af37dc-a55c-4d06-9d30-18bb793b1f95 (image/png)
Question 5
Question
Qual alteração este autômato finito deve sofrer antes de ser minimizado?
Image:
3b284f2a-4bc7-40d5-ba30-cb90ca632408 (image/png)
Answer
Remoção dos estados inacessíveis
Traduzir de não determinístico para determinístico
Tornar completo, fazendo todas as ligações
Question 6
Question
Quais serão os estados equivalentes no autômato finito após minimizar?
Image:
bfbb5c01-f4bc-4806-84f5-b1c5c427ff8c (image/png)
Answer
q1 e q2
q0 e q3
q4 e q5
q1 e q4
q2 e q5
Question 7
Question
Quais serão os estados finais e iniciais após a minimização do autômato finito?
Image:
85d5b20a-b32c-421d-918e-63f5194dda90 (image/png)
Answer
Iniciais: q03 Finais: q2 e q5
Iniciais: q0 Finais: q2 e q5
Iniciais: q03 Finais: q25
Iniciais: q03 Finais: q5
Iniciais: q0 Finais: q2
Question 8
Question
Se utilizado corretamente o algoritmo de minimização ensinado neste AF, não será possível minimizá-lo. Esta afirmação é:
Image:
dff38f8e-ca95-48c8-b8a2-70e35bfa8ed5 (image/png)
Answer
Verdadeira
Falsa, os estados q0 e q1 serão equivalentes
Falsa, os estados q0 e q3 serão equivalentes
Falsa, os estados q1 e q3 serão equivalentes
Nenhuma das alternativas
Show full summary
Hide full summary
Want to create your own
Quizzes
for
free
with GoConqr?
Learn more
.
Similar
Exercícios - Ambiguidade
Oscar Lima Neto
Equivalência ACPND-GLC
Darlan Santana F
Browse Library