Questionário - Carboidratos

Description

dos nutrientes Bioquímica Quiz on Questionário - Carboidratos, created by Questões Nutrição on 13/01/2016.
Questões  Nutrição
Quiz by Questões Nutrição, updated more than 1 year ago
Questões  Nutrição
Created by Questões Nutrição almost 10 years ago
165
3

Resource summary

Question 1

Question
A enzima que quebra um dissacarídeo em glicose e galactose é:
Answer
  • Amilase.
  • Maltase.
  • Sacarase.
  • Lactase.
  • Tripsina.

Question 2

Question
Dissacarídeos incluem:
Answer
  • Amido, glicogênio e fibra.
  • Amilose, pectina e dextrose.
  • Sacarose, maltose e lactose.
  • Glicose, galactose e frutose.
  • Celulose, pectina e maltose.

Question 3

Question
A diferença significativa entre o amido e a celulose é:
Answer
  • O amido é um polissacarídeo, mais a celulose não.
  • Os animais podem armazenar a glicose como amido, mas não como celulose.
  • Os hormônios podem fabricar a glicose a partir da celulose, mas não a partir do amido.
  • As enzimas digestivas podem quebrar as ligações do amido, mas não da celulose.
  • O amido é uma fibra solúvel e a celulose é armazenada em forma de glicogênio.

Question 4

Question
O glicogênio é armazenado no organismo:
Answer
  • No músculo e figado.
  • No pâncreas e músculo.
  • No Figado e pâncreas.
  • No cérebro e no figado.

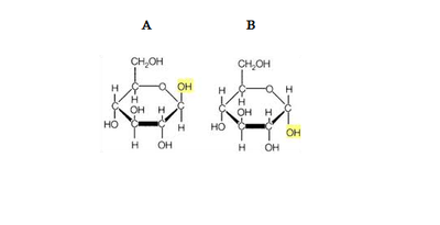
Question 5

Question
As duas moléculas ao lado são monossacarídeos de glicose, verificando a posição da hidroxila (OH) assinale a alternativa correta:
Answer
  • (A) Beta, (B) Alfa.
  • (A) Alfa, (B) Beta.
  • (A) Beta, (B) Gama.
  • (A) Alfa, (B) Delta.

Question 6

Question
Com base na estrutura ao lado, identifique a família:
Answer
  • Aldose.
  • Cetose.
  • Anomérico.
  • Pentose.

Question 7

Question
Complete a frase abaixo marcando em seguida a opção que contém as palavras corretas. Os carboidratos, também chamados de _________________ ou hidratos de carbono, são moléculas orgânicas que constituem a principal fonte de energia para os seres vivos. Com exceção do __________, todos os carboidratos são de origem vegetal, e eles podem ser classificados em monossacarídeos, dissacarídeos e ________________. Os ___________ apresentam átomos de carbono em sua molécula e seus principais representantes são a glicose, frutose e ___________.
Answer
  • Energéticos, carne, polissacarídeos, dissacarídeos, lactose.
  • Açúcares, mel, polissacarídeos, monossacarídeos, galactose.
  • Hidratos, ovos, oligossacarídeos, polissacarídeos, ácidos nucleicos.
  • Substâncias estruturais, peixes, polissacarídeos, monossacarídeos, galactose.
  • Polímeros, ovos, polissacarídeos, monossacarídeos, lactose.

Question 8

Question
Quanto aos carboidratos, assinale a alternativa incorreta.
Answer
  • Os glicídios são classificados de acordo com o tamanho e a organização de sua molécula em três grupos: monossacarídeos, dissacarídeos e polissacarídeos.
  • Os polissacarídeos compõem um grupo de glicídios cujas moléculas não apresentam sabor adocicado, embora sejam formadas pela união de centenas ou mesmo milhares de monossacarídeos.
  • Os dissacarídeos são constituídos pela união de dois monossacarídeos, e seus representantes mais conhecidos são a celulose, a quitina e o glicogênio.
  • Os glicídios, além de terem função energética, ainda participam da estrutura dos ácidos nucleicos, tanto RNA quanto DNA.
  • A função do glicogênio para os animais é equivalente à do amido para as plantas.

Question 9

Question
São substâncias usadas preferencialmente como fonte de energia:
Answer
  • Fosfolipídios e esteróides.
  • Glicerídeos e polissacarídeos, como o amido.
  • Proteínas e glicerídeos.
  • Cerídeos e esteróides.
  • Carotenóides e polissacarídeos, como a celulose.

Question 10

Question
Uma dieta com consumo adequado de carboidratos, além de prover energia para o corpo, ainda proporciona um efeito de "preservação das proteínas". A afirmação está correta porque:
Answer
  • Os carboidratos, armazenados sob a forma de gordura corpórea, constituem uma barreira protetora das proteínas armazenadas nos músculos.
  • Se as reservas de carboidratos estiverem reduzidas, vias metabólicas sintetizarão glicose a partir de proteínas.
  • As enzimas que quebram os carboidratos interrompem a ação de outras enzimas que desnaturam proteínas.
  • O nitrogênio presente nos aminoácidos das proteínas não pode ser inativado em presença de carboidratos.
  • A energia liberada pela quebra de carboidratos desnatura enzimas que degradam proteínas.
Show full summary Hide full summary

Similar

Bioquímica
Luíza Cristina
BIOQUÍMICA CELULAR
paulo.ximendes
Macro e Micronutrientes
Natalia Malagueta
Carboidratos (glicídios, açucares, hidratos de carbono)
Beatriz Avanzi
Metabolismo de Carboidratos II
Juliana Alfer
Proteínas - Composto Orgânico
Daiana GM
Metabolismo de Carboidratos I
Juliana Alfer
Sais Minerais - Compostos Inôrganicos
Daiana GM
Bioquimica cards
Leatrice Barros
Biomoléculas
Bruno Romio
Glicogênese e Glicogenólise
Leonardo Kroth Egres