SIMULADO - 3º ANO - E. M. - 2º DIA

Description

SIMULADO DO 3º ANO ANO DO ENSINO MÉDIO, DO SEGUNDO DIA, DA ESCOLA ESTADUAL SENADOR FILINTO MÜLLER.
eesfmang_nte
Quiz by eesfmang_nte, updated more than 1 year ago
eesfmang_nte
Created by eesfmang_nte over 9 years ago
889
14

Resource summary

Question 1

Question
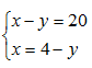
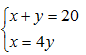
Um teste é composto por 20 questões classificadas em verdadeiras ou falsas. O número de questões verdadeiras supera o número de questões falsas em 4 unidades. Sendo x o número de questões verdadeiras e y o número de questões falsas, o sistema associado a esse problema é:

Question 2

Question
Tenho R$ 29,00 em 13 notas. São notas de R$ 1,00 e R$ 5,00. O sistema de equações do 1º grau que melhor traduz o problema é:

Question 3

Question
Uma prefeitura aplicou R$ 850 mil na construção de 3 creches e um parque infantil. O custo de cada creche foi de R$ 250 mil. A expressão que representa o custo do parque, em mil reais, é:
Answer
  • x + 850 = 250.
  • x – 850 = 750.
  • 850 = x + 250.
  • 850 = x + 750.
  • N.D.A.

Question 4

Question
Um número é maior do que outro 4 unidades e a soma desses dois números é 192. Se x é o menor desses números, então uma equação que permite calcular o valor de x é
Answer
  • x + 4 = 192
  • x + 4x = 192
  • x + (x − 4) = 192
  • x + (x + 4) = 192
  • N.D.A.

Question 5

Question
As figuras mostradas abaixo estão organizadas dentro de um padrão que se repete. Mantendo esta disposição, a expressão algébrica que representa o número de pontos N em função da ordem n (n = 1, 2,...) é:
Answer
  • N = n +1
  • N = n² – 1
  • N = 2n +1
  • N = n² +1
  • N.D.A.

Question 6

Question
A equação 3x² - 2x + 4 = 0 possui
Answer
  • uma raiz nula, pois o discriminante Δ é negativo.
  • duas raízes reais e diferentes, pois o discriminante Δ é positivo.
  • duas raízes reais e iguais, pois o discriminante Δ é zero.
  • duas raízes não reais, pois o discriminante Δ é negativo.
  • N.D.A.

Question 7

Question
Janete tem número X de toalhas, esse número multiplicado pelo seu dobro é igual a 288. Qual é esse número?
Answer
  • 144.
  • 14.
  • 16.
  • 12.
  • N.D.A

Question 8

Question
Resolva a expressão abaixo. Qual é o resultado dessa expressão?
Answer
  • – 16
  • – 10
  • 8
  • 76
  • N.D.A.

Question 9

Question
Siga as instruções do mágico e assinale a opção que possui o resultado encontrado.
Answer
  • -5.
  • 10.
  • -20.
  • o número pensado.
  • N.D.A.

Question 10

Question
Laura desenhou, na malha quadriculada abaixo, os triângulos LMN e PQR que são semelhantes. Qual é a razão de semelhança entre o triângulo LMN e PQR que Laura desenhou?

Question 11

Question
(UDESC 2008) No decorrer do século XIX, as grandes potências europeias lançaram-se à conquista colonial da África e da Ásia. Sobre a ocupação da África e suas consequências, é incorreto afirmar:
Answer
  • A violência em que se deu a colonização provocou grandes distorções nas estruturas econômicas, sociais e culturais dos territórios dominados. Intrigas entre etnias foram estimuladas e antigos reinos destruídos, vencidos pela superioridade militar dos colonizadores.
  • Os europeus demarcaram fronteiras, confiscaram terras, forçaram grupos nômades a fixar-se em territórios específicos. Em consequência disso, os Estados africanos atuais, na sua maioria, não têm a mesma unidade cultural, linguística e social.
  • A ocupação do território africano destruiu estruturas tradicionais; a economia comunitária ou de subsistência foi totalmente desorganizada, pela introdução de cultivos e outras atividades, destinadas a atender exclusivamente às necessidades das metrópoles.
  • A ocupação europeia beneficiou o continente africano, pois possibilitou a inserção da África na economia capitalista mundial. Antes da colonização europeia, a economia africana restringia-se a suprir as necessidades básicas de sua população; assim, os africanos viviam sob condições de vida bastante atrasadas.
  • A ocupação das colônias criou sérios problemas (muitos ainda não resolvidos, mesmo na atualidade). Pode-se dizer que muitos dos conflitos étnicos que existem hoje na região são consequências da dominação colonial da África.

Question 12

Question
(Mackenzie 2014) A respeito da Primeira Guerra Mundial (1914–1918), analise o texto e a imagem que se seguem. [Na França](...) a bandeira tricolor, ou seja, o repúdio da bandeira branca (a monarquia) e da bandeira vermelha (o socialismo), e a soma das duas cores ao azul simbolizam emblematicamente um consenso que reunia laicos e cristãos. Os padres se revelaram oficiais tão bons quanto os professores. (...). A França e a Alemanha, duas nações cristãs, se massacraram durante mais de quatro anos. Hoje é possível apontarcerta ingenuidade nesse ardor patriótico: no entanto, foi ele que permitiu a vitória à França e, para os alemães, evitou que suas forças armadas se desintegrassem em 1918. Em 1º plano, globo terrestre com mancha de sangue alastrando a partir da França; por detrás, soldado francês tentando, com dificuldade, fixar nesse ponto uma bandeira um pouco esfarrapada com a palavra “Liberté” (“Liberdade”). O soldado veste uma farda de cor azul; a bandeira é branca, com letras vermelhas, mesma cor do sangue que escorre sobre o globo. Vermelho, azul e branco são as cores da bandeira francesa. Pela análise do texto e da imagem, conclui-se que uma ideologia está por trás, tanto da discussão realizada no excerto, quanto na montagem e na organização do cartaz. Essa mesma ideologia esteve não somente entre as causas da Grande Guerra, mas também nas insatisfações que levariam à Segunda Guerra Mundial (1939–1945). Trata-se do
Answer
  • internacionalismo.
  • socialismo.
  • nacionalismo.
  • liberalismo econômico.
  • nazifascismo.

Question 13

Question
Leia o texto: "O odor fétido nos penetra garganta adentro ao chegarmos a nossa nova trincheira, a direita dos Éparges. Chove torrencialmente e nos protegemos com o que tem de lonas e tendas de campanha afiançadas nos muros da trincheira. Ao amanhecer do dia seguinte constatamos estarrecidos que nossas trincheiras estavam feitas sobre um montão de cadáveres e que as lonas que nossos predecessores haviam colocado estavam para ocultar da vista os corpos e restos humanos que ali haviam." - memórias do veterano Raymond Naegelen, que lutou na região de Champagne. O trecho acima retrata uma fase da primeira guerra mundial, que foi:
Answer
  • a guerra de trincheiras.
  • a guerra de movimento.
  • guerra química.
  • a guerra fria.
  • N.D.A.

Question 14

Question
Qual das alternativas abaixo não está relacionado com o plano elaborado pelo presidente Rooseveltpara combater a crise e retomar o crescimento da economia nos Estados Unidos?
Answer
  • Empréstimos a juros baixos para Japão, China, Brasil e todos os países da Europa.
  • Controle de preços de produtos.
  • Controle da produção (estoques) de produtos das empresas.
  • Investimentos em infraestrutura (obras públicas).
  • N.D.A.

Question 15

Question
Qual foi o estopim (fato que deu início) da Primeira Guerra Mundial?
Answer
  • A invasão daPolônia pelo exército alemão.
  • A formação do bloco militar composto por Alemanha, Itália e França.
  • O assassinato de Francisco Ferdinando, príncipe do Império Austro-Húngaro.
  • A disputa por território no continente americano, principalmente entre Alemanha e Itália.
  • N.D.A.

Question 16

Question
Complete a frase utilizando o advérbio correto: He drives__________________.
Answer
  • fast
  • rapid
  • good
  • goodly
  • terribly

Question 17

Question
Qual é a alternativa que apresenta apenas advérbios de frequência?
Answer
  • badly – gently – fast – often
  • often – rarely – usually – always
  • always – rarely – fast – softly
  • often – always – badly – fast
  • usually – sometimes – almost – tomorrow

Question 18

Question
Marque a alternativa que melhor completa a frase: “Ingrid __________ go to France on holidays”?
Answer
  • slowly
  • fast
  • always
  • at school
  • very

Question 19

Question
Assinale a frase em que há uma conjunção:
Answer
  • There is a story in this book.
  • Mary wanted not only a job, but also a good salary.
  • The students play football.
  • They eat vegetables every day.
  • N. d. a.

Question 20

Question
“What kind of music you like, pop music or electronic music?” A alternativa que traduz a frase acima é:
Answer
  • Por que você gosta de música pop e não de música eletrônica?
  • Você gosta de música pop e também de música eletrônica?
  • Você gosta mais de música pop ou de música eletrônica?
  • Qual tipo de música você gosta, música pop ou música eletrônica?
  • N. d. a.

Question 21

Question
Em uma mistura de água e álcool, isto é, dois líquidos completamente miscíveis, qual dos processos a seguir você escolheria:
Answer
  • Filtração
  • Levigação
  • Centrifugação
  • Destilação
  • N.D.A.

Question 22

Question
Uma dona de casa preparou um suco de laranja e acrescentou mais açúcar no seu suco, após a adição de algumas colheres de açúcar, o açúcar começou a se depositar no fundo no recipiente, em química podemos dizer que está solução está:
Answer
  • Insaturada
  • Supersaturada
  • Saturada
  • Destilada
  • N.d.a.

Question 23

Question
O gás liquefeito de petróleo, GLP, é uma mistura de propano, C3H8, e butano, C4H10. Logo, esse gás é uma mistura de hidrocarbonetos da classe dos
Answer
  • alcanos.
  • alcenos.
  • alcinos.
  • cicloalcano.
  • aromático.

Question 24

Question
Frequentemente, toma-se conhecimento de notícias sobre acidentes com navios petroleiros. Os vazamentos de petróleo geralmente são identificados por grandes manchas negras que se formam sobre a superfície dos oceanos, causando sérios prejuízos à vida marinha. Essas manchas ocorrem porque o petróleo é basicamente constituído por uma mistura de
Answer
  • hidrocarbonetos insolúveis em água.
  • macromoléculas solúveis em água.
  • sais solúveis em água.
  • minerais insolúveis em água.
  • N.d.a.

Question 25

Question
O número de átomos de hidrogênio que completam as ligações em uma molécula da substância metil-but-1-eno é:
Answer
  • 12
  • 5
  • 7
  • 9
  • N.D.A.

Question 26

Question
No basquetebol, quanto tempo é permitido um jogador permanecer na área restritiva (garrafão)?
Answer
  • 5 segundos
  • 3 segundos
  • 20 segundos
  • 8 segundos
  • 1 minuto

Question 27

Question
Qual o objetivo da Ginástica Laboral?
Answer
  • Aumento da massa muscular;
  • Controlar a pressão alta;
  • Fortalecer determinadas musculaturas muito exigidas durante a jornada de trabalho, o que faz prevenir lesões;
  • Promover a sensação de indisposição no trabalho;
  • N.D.A.

Question 28

Question
Qual alternativa NÃO é um benefício do lazer?
Answer
  • Combate o stress;
  • Relaxa;
  • Melhora o humor e a auto-estima;
  • Diminui as inflamações e traumas;
  • N.D.A.

Question 29

Question
A afirmação: Combate corpo a corpo ilegal, quer dizer:
Answer
  • Lutas.
  • Brincadeiras.
  • Brigas.
  • Recreação.
  • N.D.A.

Question 30

Question
No basquetebol, quando uma equipe ganha a posse de bola na sua zona de defesa, quanto tempo ela tem para que chegue na sua zona de ataque?
Answer
  • 8 segundos;
  • 6 segundos;
  • 20 segundos;
  • 24 segundos;
  • 1 minuto;
Show full summary Hide full summary

Similar

Simulado de Matemática
Alessandra S.
Simulado Matemática
Marina Faria
Simulado Inglês
Marina Faria
Provas anteriores de Vestibular - Fuvest 1
GoConqr suporte .
Simulado Filosofia
Marina Faria
Simulado Geografia
Marina Faria
Simulado Espanhol
Marina Faria
Dicionário de Química
Alessandra S.
Como Estudar Matemática
Alessandra S.
2a Lei de Mendel
Andrea Barreto M. Da Poça
LITERATURA: ROMANTISMO (INTRODUÇÃO)
jhonathannicolas