null
US
Sign In
Sign Up for Free
Sign Up
We have detected that Javascript is not enabled in your browser. The dynamic nature of our site means that Javascript must be enabled to function properly. Please read our
terms and conditions
for more information.
Next up
Copy and Edit
You need to log in to complete this action!
Register for Free
1070387
3.2, 3.3 & 3.4 Check-In
Description
Quiz on 3.2, 3.3 & 3.4 Check-In, created by Harmony Richman on 14/07/2014.
Quiz by
Harmony Richman
, updated more than 1 year ago
More
Less
Created by
Harmony Richman
over 11 years ago
893
0
0
Resource summary
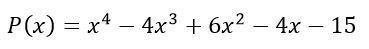
Question 1
Question
Use the Rational Zero Theorem to find all POSSIBLE rational zeros for ...
Image:
Capture.JPG (image/JPG)
Answer
1, 2, 4, 8, 1/3, 2/3, 4/3, 8/3
-1, -2, -4, -8, -1/3, -2/3, -4/3, -8/3
+/-1, +/-2, +/-4, +/-8, +/-1/3, +/-2/3, +/-4/3, +/-8/3
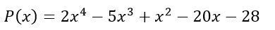
Question 2
Question
Use the Intermediate Value Theorem to determine if the function has a zero between 3 and 4.
Image:
Capture.JPG (image/JPG)
Answer
True
False
Question 3
Question
What is the far-right and far-left behavior of the function...
Image:
Capture.JPG (image/JPG)
Answer
Left UP
Left DOWN
Right UP
Right DOWN
Question 4
Question
Where is the relative minimum of ....
Image:
Capture.JPG (image/JPG)
Answer
(4.79, 15.21)
(0, 0)
(1.88, 2.94)
Question 5
Question
Find the remaining zeros of the function; given that 1 - 2i is a zero.
Image:
Capture.JPG (image/JPG)
Answer
1 + 2i
(1, 0)
(3, 0)
None
(1, -16)
Show full summary
Hide full summary
Want to create your own
Quizzes
for
free
with GoConqr?
Learn more
.
Similar
Browse Library