ISTQB Chapter 4 SAMPLE EXAM QUESTIONS

Description

ISTQB Foundation Quiz on ISTQB Chapter 4 SAMPLE EXAM QUESTIONS, created by Menua King on 25/02/2015.
Menua King
Quiz by Menua King, updated more than 1 year ago
Menua King
Created by Menua King over 10 years ago
3425
4

Resource summary

Question 1

Question
In which document described in IEEE 829 would you find instructions for the steps to be taken for a test including set-up, logging, environment and measurement?
Answer
  • Test plan
  • Test design specification
  • Test case specification
  • Test procedure specification

Question 2

Question
With a highly experienced tester with a good business background, which approach to defining test procedures would be effective and most efficient for a project under severe time pressure?
Answer
  • A high-level outline of the test conditions and general steps to take.
  • Every step in the test spelled out in detail.
  • A high-level outline of the test conditions with the steps to take discussed in detail with another experienced tester.
  • Detailed documentation of all test cases and careful records of each step taken in the testing.

Question 3

Question
Put the test cases that implement the following test conditions into the best order for the test execution schedule, for a test that is checking modifications of customers on a database. 1. Print modified customer record. 2. Change customer address: house number and street name. 3. Capture and print the on-screen error message. 4. Change customer address: postal code. 5. Confirm existing customer is on the database by opening that record. 6. Close the customer record and close the database. 7. Try to add a new customer with no details at all.
Answer
  • 5, 4, 2, 1, 3, 7, 6
  • 4, 2, 5,1, 6, 7, 3
  • 5, 4, 2, 1, 7, 3, 6
  • 5,1, 2, 3, 4, 7, 6

Question 4

Question
Why are both specification-based and structure-based testing techniques useful?
Answer
  • They find different types of defect.
  • Using more techniques is always better.
  • Both find the same types of defect.
  • Because specifications tend to be unstructured.

Question 5

Question
What is a key characteristic of structure-based testing techniques?
Answer
  • They are mainly used to assess the structure of a specification.
  • They are used both to measure coverage and to design tests to increase coverage.
  • They are based on the skills and experience of the tester.
  • They use a formal or informal model of the software or component.

Question 6

Question
Which of the following would be an example of decision-table testing for a financial application applied at the system-test level?
Answer
  • A table containing rules for combinations of inputs to two fields on a screen.
  • A table containing rules for interfaces between components.
  • A table containing rules for mortgage applications.
  • A table containing rules for chess.

Question 7

Question
Which of the following could be a coverage measure for state transition testing? V. All states have been reached. W. The response time for each transaction is adequate. X. Every transition has been exercised. Y. All boundaries have been exercised. Z. Specific sequences of transitions have been exercised.
Answer
  • X, Y and Z
  • V, X, Y and Z
  • W,X and Y
  • V, X and Z

Question 8

Question
Postal rates for 'light letters' are 25p up to 10g, 35p up to 50g plus an extra 10p for each additional 25g up to 100g. Which test inputs (in grams) would be selected using equivalence partitioning?
Answer
  • 8, 42, 82, 102
  • 4, 15, 65, 92, 159
  • 10, 50, 75, 100
  • 5, 20, 40, 60, 80

Question 9

Question
Which of the following could be used to assess the coverage achieved for specification-based (black-box) test techniques? V. Decision outcomes exercised ? W. Partitions exercised X. Boundaries exercised Y. State transitions exercised Z. Statements exercised
Answer
  • Y, W, Y, or Z
  • W, X or Y
  • V, X or Z
  • W, X, Y or Z

Question 10

Question
Which of the following would structure-based test design techniques be most likely to be applied to? 1. Boundaries between mortgage interest rate bands. 2. An invalid transition between two different arrears statuses. 3. The business process flow for mortgage approval. 4. Control flow of the program to calculate repayments.
Answer
  • 2, 3 and 4
  • 2 and 4
  • 3 and 4
  • 1,2 and 3

Question 11

Question
Use case testing is useful for which of the following? P. Designing acceptance tests with users or customers. Q. Making sure that the mainstream business processes are tested. R. Finding defects in the interaction between components. S. Identifying the maximum and minimum values for every input field. T. Identifying the percentage of statements exercised by a sets of tests.
Answer
  • P, Q and R
  • Q, S and T
  • P,Q and S
  • R, S and T

Question 12

Question
Which of the following statements about the relationship between statement coverage and decision coverage is correct?
Answer
  • 100% decision coverage is achieved if statement coverage is greater than 90%.
  • 100% statement coverage is achieved if decision coverage is greater than 90%.
  • 100% decision coverage always means 100% statement coverage.
  • 100% statement coverage always means 100% decision coverage.

Question 13

Question
If you are flying with an economy ticket, there is a possibility that you may get upgraded to business class, especially if you hold a gold card in the airline's frequent flier program. If you don't hold a gold card, there is a possibility that you will get 'bumped' off the flight if it is full and you check in late. This is shown in Figure 4.5. Note that each box (i.e. statement) has been numbered. Figure 4.5: Control flow diagram for flight check-in Three tests have been run: Test 1: Gold card holder who gets upgraded to business class Test 2: Non-gold card holder who stays in economy Test 3: A person who is bumped from the flight What is the statement coverage of these three tests?
Answer
  • 60%
  • 70%
  • 80%
  • 90%

Question 14

Question
Why are error guessing and exploratory testing good to do?
Answer
  • They can find defects missed by specification-based and structure-based techniques.
  • They don't require any training to be as effective as formal techniques.
  • They can be used most effectively when there are good specifications.
  • They will ensure that all of the code or system is tested.

Question 15

Question
How do experience-based techniques differ from specification-based techniques?
Answer
  • They depend on the tester's understanding of the way the system is structured rather than on a documented record of what the system should do.
  • They depend on having older testers rather than younger testers.
  • They depend on a documented record of what the system should do rather than on an individual's personal view.
  • They depend on an individual's personal view rather than on a documented record of what the system should do.

Question 16

Question
When choosing which technique to use in a given situation, which factors should be taken into account? V. previous experience of types of defects found in this or similar systems W. the existing knowledge of the testers X. regulatory standards that apply Y. the type of test execution tool that will be used Z. the documentation available AA. previous experience in the development language
Answer
  • V, W, Y and Z
  • U, V, W and Y
  • U, X and Y
  • V, W and Y

Question 17

Question
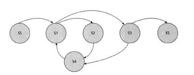
Given the state diagram in Figure 4.6, which test case is the minimum series of valid transitions to cover every state? Figure 4.6: State diagram
Answer
  • SS - S1 - S2 - S4 - S1 - S3 - ES
  • SS - S1 - S2 - S3 - S4 - S3 - S4 - ES
  • SS - S1 - S2 - S4 - S1 - S3 - S4 - S1 - S3 - ES
  • SS - S1 - S4 - S2 - S1 - S3 - ES
Show full summary Hide full summary

Similar